Chemical Industry and Engineering Progress ›› 2025, Vol. 44 ›› Issue (12): 7308-7318.DOI: 10.16085/j.issn.1000-6613.2024-2062
• Resources and environmental engineering • Previous Articles
ZENG Hongfei1(
), JIAO Long1, WANG Xu1,2, GUO Qianqian1,3, DENG Kai1,4, HU Yanjun1,3(
)
Received:2024-12-19
Revised:2025-04-15
Online:2026-01-06
Published:2025-12-25
Contact:
HU Yanjun
曾鸿飞1(
), 焦龙1, 王旭1,2, 郭倩倩1,3, 邓凯1,4, 胡艳军1,3(
)
通讯作者:
胡艳军
作者简介:曾鸿飞(2000—),男,硕士研究生,研究方向为有机固废热解气化过程污染物控制技术。E-mail:zhf13030530902@163.com。
基金资助:CLC Number:
ZENG Hongfei, JIAO Long, WANG Xu, GUO Qianqian, DENG Kai, HU Yanjun. Slagging characteristics of co-firing process of sludge and solid waste as basic fuels[J]. Chemical Industry and Engineering Progress, 2025, 44(12): 7308-7318.
曾鸿飞, 焦龙, 王旭, 郭倩倩, 邓凯, 胡艳军. 污泥与固废基燃料协同焚烧过程结渣特性[J]. 化工进展, 2025, 44(12): 7308-7318.
Add to citation manager EndNote|Ris|BibTeX
URL: https://hgjz.cip.com.cn/EN/10.16085/j.issn.1000-6613.2024-2062
| 原料 | 水分/% | 灰分/% | 挥发分/% | 固定碳/% | 热值/kJ·kg-1 |
|---|---|---|---|---|---|
| 污泥 | 2.38 | 55.80 | 41.70 | 0.12 | 5674.6 |
| SRF | 2.15 | 11.22 | 80.82 | 5.81 | 18900.7 |
| 煤 | 9.40 | 27.30 | 41.8 | 21.50 | 21285.4 |
| 聚丙烯(PP) | 0.03 | 0.06 | 99.9 | 0.01 | 45655.21 |
| 聚苯乙烯(PS) | 0.06 | 0.03 | 99.55 | 0.36 | 40902.54 |
| 布料 | 1.03 | 0.67 | 87.01 | 11.29 | 22052.33 |
| 草编边角料 | 12.8 | 0.6 | 77.65 | 8.95 | 19096.25 |
| 丁腈橡胶 | 2.02 | 23.86 | 67.19 | 6.93 | 21499.41 |
| 丁苯橡胶 | 0.07 | 0 | 99.48 | 0.45 | 41641.93 |
| 木屑 | 7.84 | 8.63 | 69.16 | 14.37 | 21621.43 |
| 秸秆 | 7.25 | 5.46 | 67.93 | 19.36 | 14490.15 |
| 原料 | 水分/% | 灰分/% | 挥发分/% | 固定碳/% | 热值/kJ·kg-1 |
|---|---|---|---|---|---|
| 污泥 | 2.38 | 55.80 | 41.70 | 0.12 | 5674.6 |
| SRF | 2.15 | 11.22 | 80.82 | 5.81 | 18900.7 |
| 煤 | 9.40 | 27.30 | 41.8 | 21.50 | 21285.4 |
| 聚丙烯(PP) | 0.03 | 0.06 | 99.9 | 0.01 | 45655.21 |
| 聚苯乙烯(PS) | 0.06 | 0.03 | 99.55 | 0.36 | 40902.54 |
| 布料 | 1.03 | 0.67 | 87.01 | 11.29 | 22052.33 |
| 草编边角料 | 12.8 | 0.6 | 77.65 | 8.95 | 19096.25 |
| 丁腈橡胶 | 2.02 | 23.86 | 67.19 | 6.93 | 21499.41 |
| 丁苯橡胶 | 0.07 | 0 | 99.48 | 0.45 | 41641.93 |
| 木屑 | 7.84 | 8.63 | 69.16 | 14.37 | 21621.43 |
| 秸秆 | 7.25 | 5.46 | 67.93 | 19.36 | 14490.15 |
| 原料 | C/% | H/% | O/% | N/% | S/% |
|---|---|---|---|---|---|
| 污泥 | 21.92 | 2.98 | 13.75 | 1.38 | 1.80 |
| SRF | 54.33 | 6.47 | 23.57 | 0.72 | 1.54 |
| 煤 | 56.70 | 3.40 | 7.30 | 1.00 | 0.70 |
| 聚丙烯 | 84.7 | 13.90 | 1.4 | — | — |
| 聚苯乙烯 | 90.58 | 7.76 | 1.5 | — | 0.16 |
| 布料 | 61.41 | 4.27 | 33.8 | 0.04 | 0.48 |
| 草编边角料 | 48.76 | 6.05 | 44.44 | 0.34 | 0.41 |
| 丁腈橡胶 | 80.47 | 8.78 | 1.15 | 8.76 | 0.84 |
| 丁苯橡胶 | 89.3 | 9.54 | 0.93 | — | 0.23 |
| 木屑 | 55.1 | 7.3 | 36.6 | 0.9 | 0.2 |
| 秸秆 | 42.33 | 5.78 | 33.07 | 1.06 | 0.31 |
| 原料 | C/% | H/% | O/% | N/% | S/% |
|---|---|---|---|---|---|
| 污泥 | 21.92 | 2.98 | 13.75 | 1.38 | 1.80 |
| SRF | 54.33 | 6.47 | 23.57 | 0.72 | 1.54 |
| 煤 | 56.70 | 3.40 | 7.30 | 1.00 | 0.70 |
| 聚丙烯 | 84.7 | 13.90 | 1.4 | — | — |
| 聚苯乙烯 | 90.58 | 7.76 | 1.5 | — | 0.16 |
| 布料 | 61.41 | 4.27 | 33.8 | 0.04 | 0.48 |
| 草编边角料 | 48.76 | 6.05 | 44.44 | 0.34 | 0.41 |
| 丁腈橡胶 | 80.47 | 8.78 | 1.15 | 8.76 | 0.84 |
| 丁苯橡胶 | 89.3 | 9.54 | 0.93 | — | 0.23 |
| 木屑 | 55.1 | 7.3 | 36.6 | 0.9 | 0.2 |
| 秸秆 | 42.33 | 5.78 | 33.07 | 1.06 | 0.31 |
| 结渣指数 | 公式 |
|---|---|
| B/A | |
| SR | |
| RS | |
| B/A×Na2O | |
| 总碱 | Na2O+K2O |
| 总氯 | Cl |
| 硫氯比 | S/Cl |
| 结渣指数 | 公式 |
|---|---|
| B/A | |
| SR | |
| RS | |
| B/A×Na2O | |
| 总碱 | Na2O+K2O |
| 总氯 | Cl |
| 硫氯比 | S/Cl |
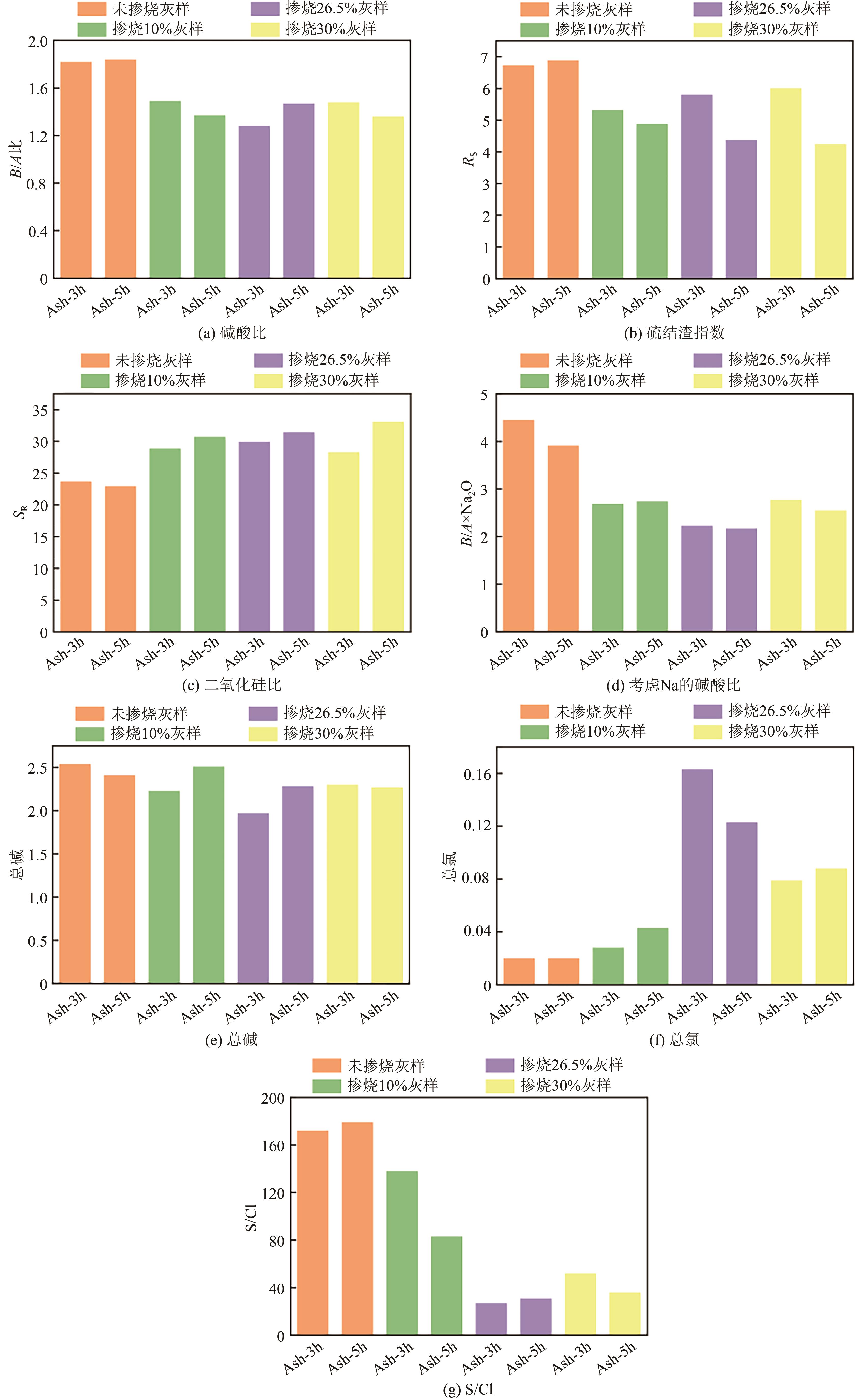
| 样品 | B/A | SR | RS | B/A×Na2O | 总碱 | S/Cl | Cl |
|---|---|---|---|---|---|---|---|
| 污泥 | 2.69 | 16.97 | 10.14 | 4.39 | 1.63 | 2.01 | 0.37 |
| 污泥+煤 | 2.07 | 21.63 | 7.84 | 3.33 | 2.02 | 8.27 | 0.45 |
| 污泥+聚丙烯 | 2.29 | 20.06 | 7.68 | 3.34 | 1.81 | 26.58 | 0.12 |
| 污泥+聚苯乙烯 | 2.21 | 21.06 | 7.47 | 3.19 | 1.84 | 16.85 | 2.21 |
| 污泥+布料(含海绵) | 2.57 | 18.16 | 8.97 | 3.35 | 2.06 | 14.08 | 0.24 |
| 污泥+草编边角料 | 2.28 | 20.75 | 7.52 | 3.52 | 1.92 | 14.58 | 2.27 |
| 污泥+丁腈橡胶 | 2.22 | 21.68 | 6.60 | 3.53 | 1.95 | 11.29 | 2.22 |
| 污泥+丁苯橡胶 | 2.39 | 19.37 | 9.08 | 3.25 | 1.70 | 17.43 | 0.21 |
| 污泥+秸秆 | 2.24 | 20.53 | 5.35 | 3.65 | 2.06 | 4.07 | 2.24 |
| 污泥+木屑 | 2.22 | 20.19 | 5.25 | 3.53 | 1.97 | 7.15 | 2.22 |
| 样品 | B/A | SR | RS | B/A×Na2O | 总碱 | S/Cl | Cl |
|---|---|---|---|---|---|---|---|
| 污泥 | 2.69 | 16.97 | 10.14 | 4.39 | 1.63 | 2.01 | 0.37 |
| 污泥+煤 | 2.07 | 21.63 | 7.84 | 3.33 | 2.02 | 8.27 | 0.45 |
| 污泥+聚丙烯 | 2.29 | 20.06 | 7.68 | 3.34 | 1.81 | 26.58 | 0.12 |
| 污泥+聚苯乙烯 | 2.21 | 21.06 | 7.47 | 3.19 | 1.84 | 16.85 | 2.21 |
| 污泥+布料(含海绵) | 2.57 | 18.16 | 8.97 | 3.35 | 2.06 | 14.08 | 0.24 |
| 污泥+草编边角料 | 2.28 | 20.75 | 7.52 | 3.52 | 1.92 | 14.58 | 2.27 |
| 污泥+丁腈橡胶 | 2.22 | 21.68 | 6.60 | 3.53 | 1.95 | 11.29 | 2.22 |
| 污泥+丁苯橡胶 | 2.39 | 19.37 | 9.08 | 3.25 | 1.70 | 17.43 | 0.21 |
| 污泥+秸秆 | 2.24 | 20.53 | 5.35 | 3.65 | 2.06 | 4.07 | 2.24 |
| 污泥+木屑 | 2.22 | 20.19 | 5.25 | 3.53 | 1.97 | 7.15 | 2.22 |
| 样品 | RS | SR | B/A | B/A×Na2O | S/Cl | Cl | ||
|---|---|---|---|---|---|---|---|---|
| 颜色标注 | 0~10% | >10%~20% | >20%~30% | >30%~40% | >40% | 轻度腐蚀 | 中度腐蚀 | 重度腐蚀 |
| 污泥+煤 | -22.77% | 27.55% | -23.05% | -24.18% | 8.27 | 0.45 | ||
| 污泥+秸秆 | -47.24% | 20.33% | -16.73% | -0.90% | 4.07 | 2.24 | ||
| 污泥+木屑 | -48.56% | 18.87% | -17.48% | -2.39% | 7.15 | 2.22 | ||
| 污泥+丁腈橡胶 | -34.28% | 27.56% | -17.48% | -1.13% | 11.29 | 2.22 | ||
| 污泥+聚苯乙烯 | -26.37% | 24.07% | -18.06% | -5.73% | 16.85 | 2.21 | ||
| 污泥+草编边角料 | -25.48% | 22.20% | -15.23% | -1.13% | 14.58 | 2.27 | ||
| 污泥+聚丙烯 | -24.13% | 18.74% | -14.85% | -23.73% | 26.58 | 0.12 | ||
| 污泥+丁苯橡胶 | -10.47% | 14.91% | -11.15% | -6.37% | 17.43 | 0.21 | ||
| 污泥+布料(含海绵) | -11.64% | 7.03% | -4.46% | -2.39% | 14.08 | 0.24 | ||
| 样品 | RS | SR | B/A | B/A×Na2O | S/Cl | Cl | ||
|---|---|---|---|---|---|---|---|---|
| 颜色标注 | 0~10% | >10%~20% | >20%~30% | >30%~40% | >40% | 轻度腐蚀 | 中度腐蚀 | 重度腐蚀 |
| 污泥+煤 | -22.77% | 27.55% | -23.05% | -24.18% | 8.27 | 0.45 | ||
| 污泥+秸秆 | -47.24% | 20.33% | -16.73% | -0.90% | 4.07 | 2.24 | ||
| 污泥+木屑 | -48.56% | 18.87% | -17.48% | -2.39% | 7.15 | 2.22 | ||
| 污泥+丁腈橡胶 | -34.28% | 27.56% | -17.48% | -1.13% | 11.29 | 2.22 | ||
| 污泥+聚苯乙烯 | -26.37% | 24.07% | -18.06% | -5.73% | 16.85 | 2.21 | ||
| 污泥+草编边角料 | -25.48% | 22.20% | -15.23% | -1.13% | 14.58 | 2.27 | ||
| 污泥+聚丙烯 | -24.13% | 18.74% | -14.85% | -23.73% | 26.58 | 0.12 | ||
| 污泥+丁苯橡胶 | -10.47% | 14.91% | -11.15% | -6.37% | 17.43 | 0.21 | ||
| 污泥+布料(含海绵) | -11.64% | 7.03% | -4.46% | -2.39% | 14.08 | 0.24 | ||
| 成分 | 质量分数/% | |||||||||
|---|---|---|---|---|---|---|---|---|---|---|
| Fe2O3 | SiO2 | CaO | Al2O3 | SO3 | P2O5 | MgO | Na2O | K2O | 其他 | |
| SRF10%灰渣-1 | 28.41 | 19.82 | 19.31 | 13.81 | 8.9 | 3.86 | 1.47 | 1.78 | 0.43 | 2.205 |
| SRF10%灰渣-2 | 26.72 | 20.57 | 18.98 | 14.64 | 8.85 | 4.07 | 1.46 | 1.99 | 0.50 | 2.216 |
| SRF26.5%灰渣-1 | 25.42 | 20.42 | 21.65 | 13.72 | 9.09 | 4.04 | 1.43 | 1.48 | 0.51 | 2.236 |
| SRF26.5%灰渣-2 | 24.82 | 21.25 | 20.62 | 14.89 | 8.52 | 4.09 | 1.44 | 1.59 | 0.59 | 2.189 |
| SRF30%灰渣-1 | 25.97 | 19.2 | 20.82 | 14.57 | 9.98 | 3.69 | 1.31 | 1.76 | 0.52 | 2.177 |
| SRF30%灰渣-2 | 24.51 | 22.85 | 20.29 | 14.2 | 8.16 | 4.05 | 1.49 | 1.61 | 0.60 | 2.238 |
| 未掺烧灰渣-1 | 33.11 | 16.02 | 18.8 | 13.46 | 8.65 | 3.56 | 1.55 | 2.21 | 0.33 | 2.308 |
| 未掺烧灰渣-2 | 33.24 | 15.91 | 18.85 | 13.27 | 8.86 | 3.54 | 1.56 | 2.15 | 0.32 | 2.298 |
| 成分 | 质量分数/% | |||||||||
|---|---|---|---|---|---|---|---|---|---|---|
| Fe2O3 | SiO2 | CaO | Al2O3 | SO3 | P2O5 | MgO | Na2O | K2O | 其他 | |
| SRF10%灰渣-1 | 28.41 | 19.82 | 19.31 | 13.81 | 8.9 | 3.86 | 1.47 | 1.78 | 0.43 | 2.205 |
| SRF10%灰渣-2 | 26.72 | 20.57 | 18.98 | 14.64 | 8.85 | 4.07 | 1.46 | 1.99 | 0.50 | 2.216 |
| SRF26.5%灰渣-1 | 25.42 | 20.42 | 21.65 | 13.72 | 9.09 | 4.04 | 1.43 | 1.48 | 0.51 | 2.236 |
| SRF26.5%灰渣-2 | 24.82 | 21.25 | 20.62 | 14.89 | 8.52 | 4.09 | 1.44 | 1.59 | 0.59 | 2.189 |
| SRF30%灰渣-1 | 25.97 | 19.2 | 20.82 | 14.57 | 9.98 | 3.69 | 1.31 | 1.76 | 0.52 | 2.177 |
| SRF30%灰渣-2 | 24.51 | 22.85 | 20.29 | 14.2 | 8.16 | 4.05 | 1.49 | 1.61 | 0.60 | 2.238 |
| 未掺烧灰渣-1 | 33.11 | 16.02 | 18.8 | 13.46 | 8.65 | 3.56 | 1.55 | 2.21 | 0.33 | 2.308 |
| 未掺烧灰渣-2 | 33.24 | 15.91 | 18.85 | 13.27 | 8.86 | 3.54 | 1.56 | 2.15 | 0.32 | 2.298 |
| [1] | HE S, CHEN K, ZHANG Y, et al. The coincineration of sewage sludge and municipal solid waste in an industrial scale incineration power plant[J]. International Journal of Environmental Science and Technology, 2023, 20(3): 2919-2928. |
| [2] | Monika KOSOWSKA-GOLACHOWSKA, LUCKOS Adam, Agnieszka KIJO-KLECZKOWSKA, et al. Gaseous emissions during oxy-fuel combustion of sewage sludge in a circulating fluidized bed[J]. Powder Technology, 2020, 371: 209-216. |
| [3] | LIN Wei, LIU Xiao, DING An, et al. Advanced oxidation processes (AOPs)-based sludge conditioning for enhanced sludge dewatering and micropollutants removal: A critical review[J]. Journal of Water Process Engineering, 2022, 45: 102468. |
| [4] | MURAKAMI Takahiro, SUZUKI Yoshizo, NAGASAWA Hidekazu, et al. Combustion characteristics of sewage sludge in an incineration plant for energy recovery[J]. Fuel Processing Technology, 2009, 90(6): 778-783. |
| [5] | SU Kun, OUYANG Ziqu, WANG Hongshuai, et al. Experimental study on municipal sludge/coal co-combustion preheated by self-preheating burner: Self-preheating two-stage combustion and NO x emission characteristics[J]. Energy, 2024, 290: 130222. |
| [6] | 杨郭昊, 张本农, 胡艳军. 有机固废燃烧过程中细颗粒物表面环境持久性自由基生成的研究进展[J]. 能源环境保护, 2023, 37(3): 118-127. |
| YANG Guohao, ZHANG Bennong, HU Yanjun. Research progress on the generation of environmental persistent free radicals on the surface of fine particulates during the combustion of organic solid waste[J]. Energy Environmental Protection, 2023, 37(3): 118-127. | |
| [7] | LIN Yan, LIAO Yanfen, YU Zhaosheng, et al. The investigation of co-combustion of sewage sludge and oil shale using thermogravimetric analysis[J]. Thermochimica Acta, 2017, 653: 71-78. |
| [8] | 袁世震, 郭倩倩, 卢如飞, 等. 活性炭喷射吸附在烟气净化中应用的数值模拟分析[J]. 能源环境保护, 2023, 37(6): 89-100. |
| YUAN Shizhen, GUO Qianqian, LU Rufei, et al. Numerical simulation analysis of activated carbon injection adsorption in flue gas purification application[J]. Energy Environmental Protection, 2023, 37(6): 89-100. | |
| [9] | LIAO Yanfen, MA Xiaoqian. Thermogravimetric analysis of the co-combustion of coal and paper mill sludge[J]. Applied Energy, 2010, 87(11): 3526-3532. |
| [10] | WANG Teng, LIU Bo, XUE Yongjie, et al. Effect of textile waste on incineration behavior of dyeing sludge: Combustion characteristics, gas emissions, kinetics[J]. Journal of Cleaner Production, 2024, 435: 140619. |
| [11] | PENG Xiaowei, MA Xiaoqian, XU Zhibin. Thermogravimetric analysis of co-combustion between microalgae and textile dyeing sludge[J]. Bioresource Technology, 2015, 180: 288-295. |
| [12] | DING Ziyi, CHEN Zihong, LIU Jingyong, et al. Co-combustion, life-cycle circularity, and artificial intelligence-based multi-objective optimization of two plastics and textile dyeing sludge[J]. Journal of Hazardous Materials, 2022, 426: 128069. |
| [13] | LIU Hu, WANG Yancheng, XUE Jingwen, et al. Experimental study on combustion, ash fusibility and slagging propensity during co-combustion of organic solid waste and lignite[J]. Journal of the Energy Institute, 2023, 106: 101145. |
| [14] | WANG Teng, CAI Chengjian, XUE Yongjie, et al. Regulation of ash slagging behavior for sewage sludge by rice husk addition: Focusing on control mechanisms[J]. Journal of Cleaner Production, 2021, 284: 124677. |
| [15] | 修浩然, 王云刚, 白彦渊, 等. 准东煤/市政污泥掺烧燃烧特性及灰熔融行为分析[J]. 化工进展, 2023, 42(6): 3242-3252. |
| XIU Haoran, WANG Yungang, BAI Yanyuan, et al. Combustion characteristics and ash fusion behavior of co-combustion of Zhundong coal and municipal sludge[J]. Chemical Industry and Engineering Progress, 2023, 42(6): 3242-3252. | |
| [16] | ZHANG Xiaoyong, CHEN Xiaoping, XIAO Jun, et al. Comparative study of different sewage sludge incineration treatments based on environmental and economic life cycle assessment[J]. Waste Management & Research, 2024, 42(5): 418-429. |
| [17] | ZHAO Jing, LI Bo, WEI Xiaolin, et al. Slagging characteristics caused by alkali and alkaline earth metals during municipal solid waste and sewage sludge co-incineration[J]. Energy, 2020, 202: 117773. |
| [18] | LI Mingqiang, ZHANG Zhongxiao, WU Xiaojiang, et al. Experiment and mechanism study on the effect of kaolin on melting characteristics of Zhundong coal ash[J]. Energy & Fuels, 2016, 30(9): 7763-7769. |
| [19] | 孙保民, 高满达, 苏逸峰, 等. 城市污泥对五彩湾高钠煤灰熔融特性的影响[J]. 化工进展, 2018, 37(8): 2991-3000. |
| SUN Baomin, GAO Manda, SU Yifeng, et al. Influence of sewage sludge on ash-melting characteristics during combustion of high sodium coal of Wucai Wan[J]. Chemical Industry and Engineering Progress, 2018, 37(8): 2991-3000. | |
| [20] | WANG Ruikun, ZHAO Zhenghui, QIU Lichun, et al. Experimental investigation of synergistic behaviors of lignite and wasted activated sludge during their co-combustion[J]. Fuel Processing Technology, 2017, 156: 271-279. |
| [21] | ZHAI Ming, LI Xuesong, YANG Di, et al. Ash fusion characteristics of biomass pellets during combustion[J]. Journal of Cleaner Production, 2022, 336: 130361. |
| [22] | YAO Xiwen, ZHAO Zhicheng, LI Jishuo, et al. Experimental investigation of physicochemical and slagging characteristics of inorganic constituents in ash residues from gasification of different herbaceous biomass[J]. Energy, 2020, 198: 117367. |
| [23] | YAO Xiwen, ZHOU Haodong, XU Kaili, et al. Systematic study on ash transformation behaviour and thermal kinetic characteristics during co-firing of biomass with high ratios of bituminous coal[J]. Renewable Energy, 2020, 147: 1453-1468. |
| [24] | GRIMM Alejandro, SKOGLUND Nils, Dan BOSTRÖM, et al. Bed agglomeration characteristics in fluidized quartz bed combustion of phosphorus-rich biomass fuels[J]. Energy & Fuels, 2011, 25(3): 937-947. |
| [25] | YU Yunpeng, YU Zhiao, XU Wei, et al. High-temperature ash melting and fluidity behavior upon the co-combustion of sewage sludge and coal[J]. ACS Omega, 2024, 9(12): 14455-14464. |
| [26] | DAI Baiqian, WU Xiaojiang, DE GIROLAMO Anthony, et al. Inhibition of lignite ash slagging and fouling upon the use of a silica-based additive in an industrial pulverised coal-fired boiler. Part 1. Changes on the properties of ash deposits along the furnace[J]. Fuel, 2015, 139: 720-732. |
| [27] | LACHMAN Jakub, Marek BALÁŠ, Martin LISÝ, et al. An overview of slagging and fouling indicators and their applicability to biomass fuels[J]. Fuel Processing Technology, 2021, 217: 106804. |
| [28] | ROBERTS Lee J, MASON Patrick E, JONES Jenny M, et al. The impact of aluminosilicate-based additives upon the sintering and melting behaviour of biomass ash[J]. Biomass and Bioenergy, 2019, 127: 105284. |
| [1] | SHI Peixin, XIE Jing, DIAO Rongjun, HE Rong, XIE Li. Recent advances on the application of hydrolysis acidification process in the treatment of emerging contaminants [J]. Chemical Industry and Engineering Progress, 2025, 44(S1): 451-461. |
| [2] | FENG Zhihua, ZHU Baibin, LIU Xizhong, DONG Xiaoqing, WANG Tao, YAN Yuchen, YUAN Fan, LIU Yiran, CHEN Ying. Regulatory effects of signal molecules on microorganisms in bulking sludge at low temperatures [J]. Chemical Industry and Engineering Progress, 2025, 44(S1): 559-566. |
| [3] | YANG Shini, XU Yudong. Preparation of gypsum whisker from the gypsum sludge derived in a close-loop treatment process for leachate nanofiltration concentrate [J]. Chemical Industry and Engineering Progress, 2025, 44(9): 5450-5459. |
| [4] | ZHANG Guanghui, JIANG Jinxu, HUANG Lei, CHEN Shixiang, MA Tiantian. Influencing factors analysis and prediction for oxygen-enriched combustion characteristics of municipal sludge [J]. Chemical Industry and Engineering Progress, 2025, 44(9): 5460-5470. |
| [5] | WEI Mengyu, TONG Zhangfa, JIANG Yinghua. Multi-objective optimization of municipal solid waste supply chain network based on waste classification [J]. Chemical Industry and Engineering Progress, 2025, 44(8): 4617-4627. |
| [6] | TANG Jian, CUI Wangwang, CHEN Jiakun, WANG Tianzheng, QIAO Junfei. Full lifecycle prediction model construction for dioxins in municipal solid waste incineration process: Method of coupling numerical simulation and fuzzy forest regression [J]. Chemical Industry and Engineering Progress, 2025, 44(8): 4628-4647. |
| [7] | CHEN Qian, TONG Kun, XIE Jiacai, SHAO Zhiguo, NIE Fan, LI Chentao. Research progress on the treatment technology of polymer-containing oil sludge [J]. Chemical Industry and Engineering Progress, 2025, 44(7): 4158-4168. |
| [8] | GAO Jun, SUN Xiaojie, DONG Bin. Differences in nitrogen conversion and microecology during anaerobic digestion of different nitrogen-source substrates reveal the degradation bottleneck of sludge protein substances [J]. Chemical Industry and Engineering Progress, 2025, 44(7): 4190-4201. |
| [9] | REN Pengkun, ZHONG Zhaoping, ZHANG Xiaoni, YANG Yuxuan, RAN Zhenzhen. Preparation of sludge-sawdust-based activated carbon and its adsorption performance for benzene series VOCs [J]. Chemical Industry and Engineering Progress, 2025, 44(6): 3031-3040. |
| [10] | GAO Jiawei, HUANG Yaji, WANG Sheng, ZHU Zhicheng, XIAO Yixuan, SONG Huikang, LIU Jun, QI Shuaijie, ZHANG Yuyao, ZHAO Jiaqi. Effects of silicon-aluminum mineral components on the melting characteristics and the solidification of heavy metal of municipal solid waste incineration fly ash [J]. Chemical Industry and Engineering Progress, 2025, 44(3): 1716-1725. |
| [11] | ZHAO Jiaqi, HUANG Yaji, LI Zhiyuan, ZHU Zhicheng, QI Shuaijie, GAO Jiawei, LIU Jun, ZHANG Yuyao. Characteristics of heavy metal migration and transformation during co-pyrolysis of sludge with agroforestry wastes [J]. Chemical Industry and Engineering Progress, 2025, 44(2): 1064-1075. |
| [12] | JIANG Peng, LIU Shugen, TIAN Senlin, NING Ping. Biological drying characteristics and water removal mechanism of dewatered sludge derived from sewage treatment plants [J]. Chemical Industry and Engineering Progress, 2025, 44(2): 1110-1119. |
| [13] | DONG Shanyan, HUANG Shifa, HE Fuping, LUO Jincai, WANG Xinyun, ZHU Yichun. Cation exchange resin treatment on the impact and mechanism of carbon source release in waste activated sludge [J]. Chemical Industry and Engineering Progress, 2025, 44(12): 7250-7259. |
| [14] | TANG Yan, ZHONG Guanghong, LI Xitong, GAO Xiaoya, ZHU Wenjie, LUO Yongming. Preparation of Fe/C catalyst from cold-rolled sludge for catalytic degradation of phenol [J]. Chemical Industry and Engineering Progress, 2025, 44(12): 7270-7280. |
| [15] | NIE Yanqi, LI Yizhang, HE Xuyang, ZHANG Dingyuan, LI Weihua, GAO Weijie, ZHAO Changxia, SUN Yingjie, SUN Haoran, WANG Yufeng, ZHU Jinlin, BIAN Rongxing, LU Chenggang. Preparation of ceramsite by coupling sintering MSW incineration fly ash with construction waste micro-powder and municipal sludge [J]. Chemical Industry and Engineering Progress, 2025, 44(12): 7281-7289. |
| Viewed | ||||||
|
Full text |
|
|||||
|
Abstract |
|
|||||
|
京ICP备12046843号-2;京公网安备 11010102001994号 Copyright © Chemical Industry and Engineering Progress, All Rights Reserved. E-mail: hgjz@cip.com.cn Powered by Beijing Magtech Co. Ltd |