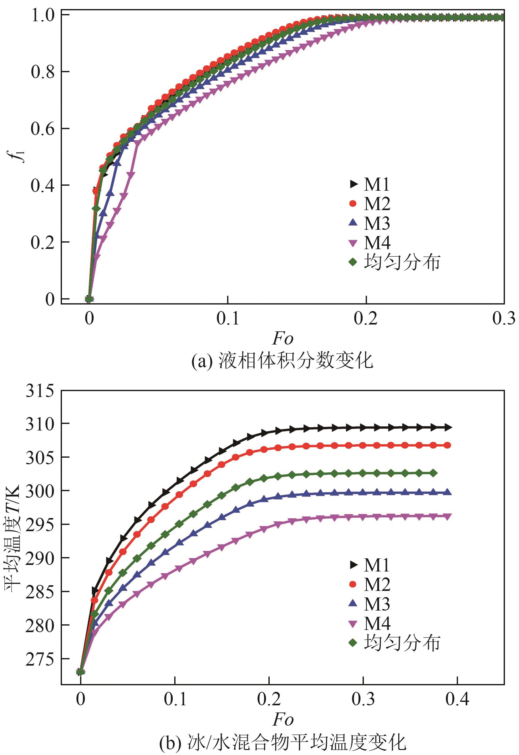
| [1] |
WANG Yun, RUIZ DIAZ Daniela Fernanda, CHEN Ken S, et al. Materials, technological status, and fundamentals of PEM fuel cells—A review[J]. Materials Today, 2020, 32: 178-203.
|
| [2] |
SHARAF Omar Z, ORHAN Mehmet F. An overview of fuel cell technology: Fundamentals and applications[J]. Renewable and Sustainable Energy Reviews, 2014, 32: 810-853.
|
| [3] |
AMAMOU Ali Akrem, KELOUWANI Sousso, BOULON Loic, et al. A comprehensive review of solutions and strategies for cold start of automotive proton exchange membrane fuel cells[J]. IEEE Access, 2016, 4: 4989-5002.
|
| [4] |
WAN Zhongmin, CHANG Huawei, SHU Shuiming, et al. A review on cold start of proton exchange membrane fuel cells[J]. Energies, 2014, 7(5): 3179-3203.
|
| [5] |
LUO Yueqi, JIAO Kui. Cold start of proton exchange membrane fuel cell[J]. Progress in Energy and Combustion Science, 2018, 64: 29-61.
|
| [6] |
SANTAMARIA Anthony, TANG Hongyue, PARK Jae Wan, et al. 3D neutron tomography of a polymer electrolyte membrane fuel cell under sub-zero conditions[J]. International Journal of Hydrogen Energy, 2012, 37(14): 10836-10843.
|
| [7] |
MISHLER Jeffrey, WANG Yun, MUKHERJEE Partha P, et al. Subfreezing operation of polymer electrolyte fuel cells: Ice formation and cell performance loss[J]. Electrochimica Acta, 2012, 65: 127-133.
|
| [8] |
TABE Yutaka, SAITO Masataka, FUKUI Kaoru, et al. Cold start characteristics and freezing mechanism dependence on start-up temperature in a polymer electrolyte membrane fuel cell[J]. Journal of Power Sources, 2012, 208: 366-373.
|
| [9] |
WU Kangcheng, XIE Xu, WANG Bowen, et al. Two-dimensional simulation of cold start processes for proton exchange membrane fuel cell with different hydrogen flow arrangements[J]. International Journal of Hydrogen Energy, 2020, 45(35): 17795-17812.
|
| [10] |
GWAK Geonhui, Johan KO, JU Hyunchul. Numerical investigation of cold-start behavior of polymer-electrolyte fuel-cells from subzero to normal operating temperatures—Effects of cell boundary and operating conditions[J]. International Journal of Hydrogen Energy, 2014, 39(36): 21927-21937.
|
| [11] |
AIDUN Cyrus K, CLAUSEN Jonathan R. Lattice-Boltzmann method for complex flows[J]. Annual Review of Fluid Mechanics, 2010, 42: 439-472.
|
| [12] |
CHEN Li, WANG Mengyi, KANG Qinjun, et al. Pore scale study of multiphase multicomponent reactive transport during CO2 dissolution trapping[J]. Advances in Water Resources, 2018, 116: 208-218.
|
| [13] |
SHAN Xiaowen, CHEN Hudong. Lattice Boltzmann model for simulating flows with multiple phases and components[J]. Physical Review E, Statistical Physics, Plasmas, Fluids, and Related Interdisciplinary Topics, 1993, 47(3): 1815-1819.
|
| [14] |
REN Qinlong, MENG Fanlong, GUO Penghua. A comparative study of PCM melting process in a heat pipe-assisted LHTES unit enhanced with nanoparticles and metal foams by immersed boundary-lattice Boltzmann method at pore-scale[J]. International Journal of Heat and Mass Transfer, 2018, 121: 1214-1228.
|
| [15] |
REN Qinlong, LIANG Chenxing, WANG Zexiao, et al. Continuous trapping of bacteria in non-Newtonian blood flow using negative dielectrophoresis with quadrupole electrodes[J]. Journal of Physics D Applied Physics, 2021, 54(1): 015401.
|
| [16] |
HE Yaling, LIU Qing, LI Qing, et al. Lattice Boltzmann methods for single-phase and solid-liquid phase-change heat transfer in porous media: A review[J]. International Journal of Heat and Mass Transfer, 2019, 129: 160-197.
|
| [17] |
SHEN Shixuan, ZHOU Haowei, DU Yurou, et al. Investigation on latent heat energy storage using phase change material enhanced by gradient-porosity metal foam[J]. Applied Thermal Engineering, 2024, 236: 121760.
|
| [18] |
GAEDTKE Maximilian, ABISHEK S, Ryan MEAD-HUNTER, et al. Total enthalpy-based lattice Boltzmann simulations of melting in paraffin/metal foam composite phase change materials[J]. International Journal of Heat and Mass Transfer, 2020, 155: 119870.
|
| [19] |
REN Qinlong, WANG Zexiao, LAI Tao, et al. Conjugate heat transfer in anisotropic woven metal fiber-phase change material composite[J]. Applied Thermal Engineering, 2021, 189: 116618.
|
| [20] |
HE Pu, CHEN Li, MU Yutong, et al. Lattice Boltzmann method simulation of ice melting process in the gas diffusion layer of fuel cell[J]. International Journal of Heat and Mass Transfer, 2020, 149: 119121.
|
| [21] |
JIANG Ziheng, YANG Guogang, LI Shian, et al. Investigation of the ice melting process in a simplified gas diffusion layer of fuel cell by the lattice Boltzmann method[J]. Energy & Fuels, 2022, 36(10): 5403-5414.
|
| [22] |
YIN Bifeng, XU Sheng, JIA Hekun, et al. Effect of shape parameters on the enhancement of ice-melting performance in a novel perforated gas diffusion layer of proton exchange membrane fuel cell[J]. International Communications in Heat and Mass Transfer, 2022, 136: 106171.
|
| [23] |
ZHANG Senhao, XU Sheng, DONG Fei. Study on ice-melting performance of gradient gas diffusion layer in proton exchange membrane fuel cell[J]. International Journal of Hydrogen Energy, 2022, 47(54): 22981-22992.
|
| [24] |
LAI Tao, QU Zhiguo. Pore-scale parametric sensitivity analysis of liquid water transport in the gas diffusion layer of polymer electrolyte membrane fuel cell[J]. Applied Thermal Engineering, 2023, 229: 120616.
|
| [25] |
FISHMAN Z, HINEBAUGH J, BAZYLAK A. Microscale tomography investigations of heterogeneous porosity distributions of PEMFC GDLs[J]. Journal of the Electrochemical Society, 2010, 157(11): B1643.
|
| [26] |
BANERJEE R, HINEBAUGH J, LIU H, et al. Heterogeneous porosity distributions of polymer electrolyte membrane fuel cell gas diffusion layer materials with rib-channel compression[J]. International Journal of Hydrogen Energy, 2016, 41(33): 14885-14896.
|
| [27] |
HUANG Rongzong, WU Huiying, CHENG P. A new lattice Boltzmann model for solid-liquid phase change[J]. International Journal of Heat and Mass Transfer, 2012, 59: 295-301.
|
| [28] |
MENCINGER Jure. Numerical simulation of melting in two-dimensional cavity using adaptive grid[J]. Journal of Computational Physics, 2004, 198(1): 243-264.
|