Chemical Industry and Engineering Progress ›› 2025, Vol. 44 ›› Issue (12): 6840-6851.DOI: 10.16085/j.issn.1000-6613.2024-1975
• Energy processes and technology • Previous Articles
DU Limin1(
), NIAN Jun1(
), ZHU Jingchi1, YU Hongfei1, CHENG Yue2
Received:2024-12-03
Revised:2025-01-09
Online:2026-01-06
Published:2025-12-25
Contact:
NIAN Jun
杜丽敏1(
), 年军1(
), 朱竟驰1, 于鸿飞1, 程月2
通讯作者:
年军
作者简介:杜丽敏(1998—),女,硕士研究生,研究方向为粉尘灾害治理与防治。E-mail: 2470417542@qq.com。
基金资助:CLC Number:
DU Limin, NIAN Jun, ZHU Jingchi, YU Hongfei, CHENG Yue. Optimization of water injection wetting agents for different coal types and micromechanical studies[J]. Chemical Industry and Engineering Progress, 2025, 44(12): 6840-6851.
杜丽敏, 年军, 朱竟驰, 于鸿飞, 程月. 不同煤种注水润湿剂优选及微观机理[J]. 化工进展, 2025, 44(12): 6840-6851.
Add to citation manager EndNote|Ris|BibTeX
URL: https://hgjz.cip.com.cn/EN/10.16085/j.issn.1000-6613.2024-1975
| 煤样 | 工业分析(质量分数)/% | |||
|---|---|---|---|---|
| 水分(Mad) | 灰分(Aad) | 挥发分(Vad) | 固定碳(FCad) | |
| 褐煤 | 10.39 | 4.33 | 37.91 | 47.37 |
| 烟煤 | 1.81 | 9.54 | 24.47 | 68.45 |
| 无烟煤 | 0.65 | 7.63 | 9.62 | 82.10 |
| 煤样 | 工业分析(质量分数)/% | |||
|---|---|---|---|---|
| 水分(Mad) | 灰分(Aad) | 挥发分(Vad) | 固定碳(FCad) | |
| 褐煤 | 10.39 | 4.33 | 37.91 | 47.37 |
| 烟煤 | 1.81 | 9.54 | 24.47 | 68.45 |
| 无烟煤 | 0.65 | 7.63 | 9.62 | 82.10 |
| 类型 | 表面活性剂 | 代号 | 分子式 | CAS编号 |
|---|---|---|---|---|
| 阴离子型 | 月桂醇聚醚硫酸酯钠 | SLES | C14H29NaO5S | 68585-34-2 |
| 非离子型 | 脂肪醇聚氧乙烯醚 | AEO-9 | C30H62O10 | 68213-23-0 |
| 两性离子型 | 月桂酰两性基双醋酸钠 | LAD-35 | C20H39N2NaO6 | 14350-97-1 |
| 类型 | 表面活性剂 | 代号 | 分子式 | CAS编号 |
|---|---|---|---|---|
| 阴离子型 | 月桂醇聚醚硫酸酯钠 | SLES | C14H29NaO5S | 68585-34-2 |
| 非离子型 | 脂肪醇聚氧乙烯醚 | AEO-9 | C30H62O10 | 68213-23-0 |
| 两性离子型 | 月桂酰两性基双醋酸钠 | LAD-35 | C20H39N2NaO6 | 14350-97-1 |
| 系统 | A2924cm-1 | A2954cm-1 | A2924cm-1/A2954cm-1 |
|---|---|---|---|
| 无烟煤原煤 | 0.26 | 0.19 | 1.37 |
| 无烟煤/R1复合溶液 | 0.56 | 0.21 | 2.67 |
| 烟煤原煤 | 0.84 | 0.30 | 2.80 |
| 烟煤/R1复合溶液 | 0.82 | 0.24 | 3.42 |
| 褐煤原煤 | 0.49 | 0.15 | 3.27 |
| 褐煤/R1复合溶液 | 1.72 | 0.32 | 5.38 |
| 系统 | A2924cm-1 | A2954cm-1 | A2924cm-1/A2954cm-1 |
|---|---|---|---|
| 无烟煤原煤 | 0.26 | 0.19 | 1.37 |
| 无烟煤/R1复合溶液 | 0.56 | 0.21 | 2.67 |
| 烟煤原煤 | 0.84 | 0.30 | 2.80 |
| 烟煤/R1复合溶液 | 0.82 | 0.24 | 3.42 |
| 褐煤原煤 | 0.49 | 0.15 | 3.27 |
| 褐煤/R1复合溶液 | 1.72 | 0.32 | 5.38 |
| 系统 | Etotal/kcal·mol-1 | Ex /kcal·mol-1 | Ecoal/kcal·mol-1 | Eint/kcal·mol-1 |
|---|---|---|---|---|
| 无烟煤/水 | 35028.64 | -11847.54 | 47134.66 | -258.48 |
| 无烟煤/R1/水 | 32427.29 | -1211.47 | 47167.51 | -528.74 |
| 烟煤/水 | 43614.67 | -11716.70 | 16458.49 | -380.32 |
| 烟煤/R1/水 | 16814.60 | -14116.50 | 16402.62 | -604.66 |
| 褐煤/水 | -12653.86 | -1832.88 | -320.08 | -500.89 |
| 褐煤/R1/水 | -15412.01 | -14015.21 | -380.64 | -1016.16 |
| 系统 | Etotal/kcal·mol-1 | Ex /kcal·mol-1 | Ecoal/kcal·mol-1 | Eint/kcal·mol-1 |
|---|---|---|---|---|
| 无烟煤/水 | 35028.64 | -11847.54 | 47134.66 | -258.48 |
| 无烟煤/R1/水 | 32427.29 | -1211.47 | 47167.51 | -528.74 |
| 烟煤/水 | 43614.67 | -11716.70 | 16458.49 | -380.32 |
| 烟煤/R1/水 | 16814.60 | -14116.50 | 16402.62 | -604.66 |
| 褐煤/水 | -12653.86 | -1832.88 | -320.08 | -500.89 |
| 褐煤/R1/水 | -15412.01 | -14015.21 | -380.64 | -1016.16 |
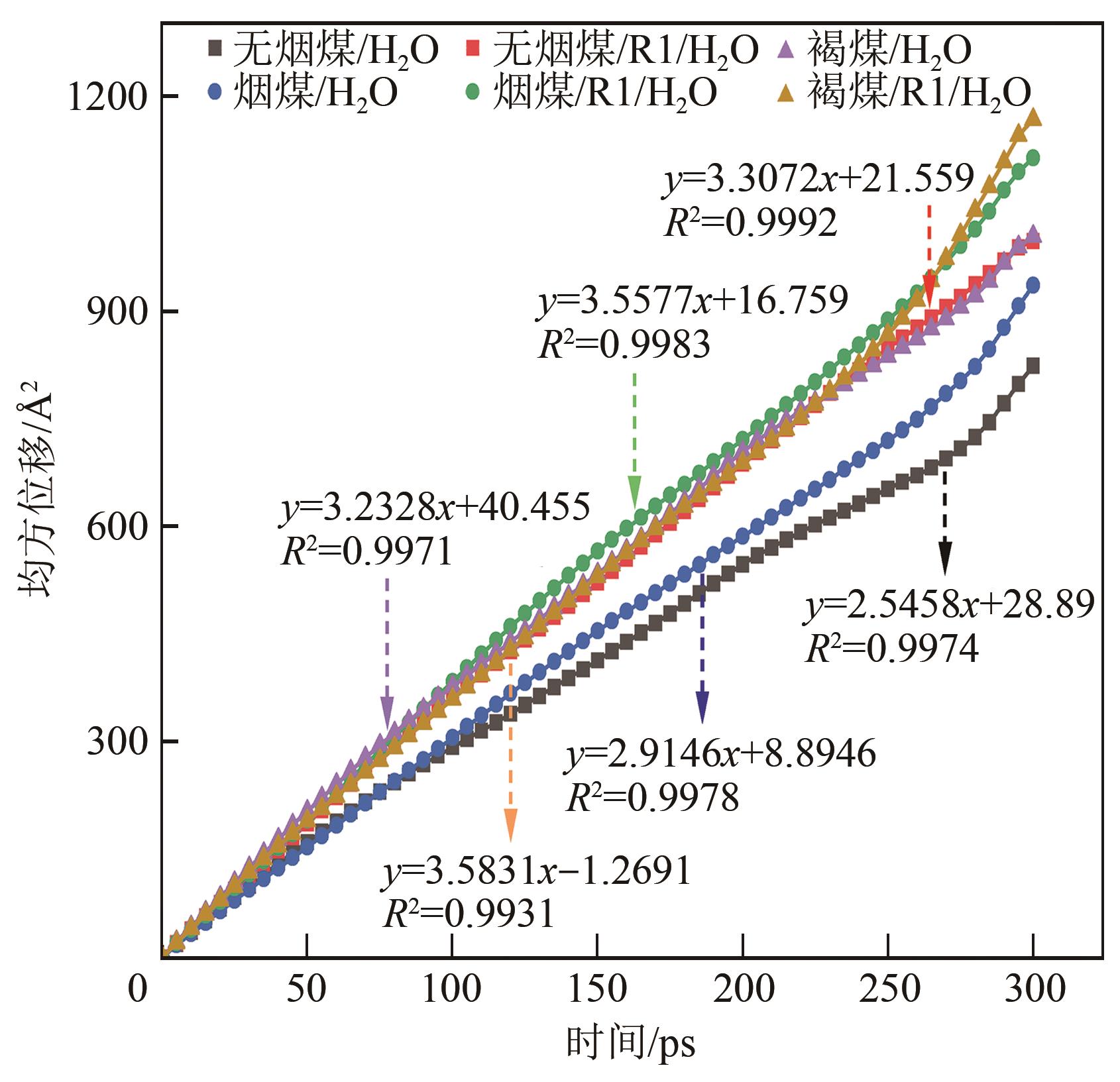
| 系统 | D/cm2·s-1 |
|---|---|
| 无烟煤/水 | 1.52×10-5 |
| 无烟煤/R1复合溶液/水 | 1.98×10-5 |
| 烟煤/水 | 1.75×10-5 |
| 烟煤/R1复合溶液/水 | 2.14×10-5 |
| 褐煤/水 | 1.94×10-5 |
| 褐煤/R1复合溶液/水 | 2.15×10-5 |
| 系统 | D/cm2·s-1 |
|---|---|
| 无烟煤/水 | 1.52×10-5 |
| 无烟煤/R1复合溶液/水 | 1.98×10-5 |
| 烟煤/水 | 1.75×10-5 |
| 烟煤/R1复合溶液/水 | 2.14×10-5 |
| 褐煤/水 | 1.94×10-5 |
| 褐煤/R1复合溶液/水 | 2.15×10-5 |
| [1] | 程坤. 我国煤炭资源勘查开发主要问题及对策措施[J]. 中国煤炭, 2024, 50(7): 1-7. |
| CHENG Kun. Research on the main problems and countermeasures of coal resources exploration and development in China[J]. China Coal, 2024, 50(7): 1-7. | |
| [2] | LU Cunjin, LI Pu, XU Jinpeng, et al. Knowledge map analysis of coal mine water disaster prevention and control in China from 2000 to 2023[J]. Earth Science Informatics, 2024, 17(4): 2791-2799. |
| [3] | XU Zhihuan, ZHANG Taisheng, ZHUANG Lei, et al. The impact of coal-fired, soot on China’s industrial production and total factor energy efficiency[J]. Water, Air, & Soil Pollution, 2024, 235(9): 565. |
| [4] | 张静, 秦文欣. 煤场扬尘污染机理及治理技术研究[J]. 中国新技术新产品, 2024(19): 128-130. |
| ZHANG Jing, QIN Wenxin. Study on mechanism and control technology of dust pollution in coal yard[J]. New Technology & New Products of China, 2024(19): 128-130. | |
| [5] | 杨鑫. 煤炭洗选加工过程中存在的环境污染及防治探究[J]. 矿业装备, 2023(8): 72-74. |
| YANG Xin. Study on environmental pollution and its prevention in coal washing and processing[J]. Mining Equipment, 2023(8): 72-74. | |
| [6] | 王俊琪. 石煤与烟煤的混燃污染物排放特性研究[J]. 能源技术与管理, 2021, 46(6): 136-138. |
| WANG Junqi. Research on discharge features of pollutant from co-combustion of stone coal and bituminous coal[J]. Energy Technology and Management, 2021, 46(6): 136-138. | |
| [7] | GAO Mingzhong, LI Hongmei, ZHAO Yun, et al. Mechanism of micro-wetting of highly hydrophobic coal dust in underground mining and new wetting agent development[J]. International Journal of Mining Science and Technology, 2023, 33(1): 31-46. |
| [8] | LIANG Yuehui, SHI Biming, YUE Jiwei, et al. Anisotropic damage mechanism of coal seam water injection with multiphase coupling[J]. ACS Omega, 2024, 9(14): 16400-16410. |
| [9] | ZAN Yang, WU Yang, RAN Dongsheng, et al. Nano-emulsion stabilized by multiple surfactants: An effective alternative for enhancing coal seam water injection effect[J]. Journal of Molecular Liquids, 2024, 398: 124150. |
| [10] | GONG Bin, ZHANG Yongbin, FAN Yaqing, et al. A novel approach to model enhanced coal bed methane recovery with discrete fracture characterizations in a geochemical simulator[J]. Journal of Petroleum Science and Engineering, 2014, 124: 198-208. |
| [11] | WANG Xiaohan, JIANG Bingyou, YUAN Liang, et al. Study on coupling chelating agent and surfactant to enhance coal wettability: Experimental and theoretical discussion[J]. Fuel, 2023, 342: 127861. |
| [12] | XU Lianman, LI Yajing, DU Linlin, et al. Study on the effect of SDBS and SDS on deep coal seam water injection[J]. Science of the Total Environment, 2023, 856: 158930. |
| [13] | NIU Wenjin, NIE Wen, YUAN Mingyue, et al. Study of the microscopic mechanism of lauryl glucoside wetting coal dust: Environmental pollution prevention and control[J]. Journal of Hazardous Materials, 2021, 412: 125223. |
| [14] | TIAN Qifan, NIE Wen, BAO Qiu, et al. Research on coal dust pollution prevention and control based on co-solvent association: Macro-micro experiments and molecular dynamics simulations[J]. Applied Surface Science, 2024, 651: 159289. |
| [15] | WANG Kai, XU Min, ZHOU Biao, et al. Study on the effects of inorganic salts and ionic surfactants on the wettability of coal based on the experimental and molecular dynamics investigations[J]. Energy, 2024, 300: 131610. |
| [16] | LIU Huajun, LI Ruoxi, NIE Wen, et al. Enhancing understanding of anionic surfactant adsorption mechanism and hydrophilic modification of bituminous coal for effective dust suppression[J]. Surfaces and Interfaces, 2024, 46: 103948. |
| [17] | LI Jiajun, KONG Shaoqi, YAN Guochao, et al. Adsorption mechanism of alkylphenol ethoxylates surfactants (APEO) on anthracite surface: A combined experimental, DFT and molecular dynamics study[J]. Journal of Molecular Liquids, 2024, 396: 124030. |
| [18] | BAI Xuyang, KONG Shaoqi, ZHANG Jiawei, et al. Molecular mechanism study of nonionic surfactant enhanced anionic surfactant to improve the wetting ability of anthracite dust[J]. Colloids and Surfaces A: Physicochemical and Engineering Aspects, 2024, 686: 133455. |
| [19] | 王岩. 不同含氧官能团对煤润湿性影响的分子动力学模拟研究[J]. 中国安全生产科学技术, 2024, 20(7): 114-120. |
| WANG Yan. Molecular dynamics simulation study on influence of different oxygen-containing functional groups on coal wettability[J]. Journal of Safety Science and Technology, 2024, 20(7): 114-120. | |
| [20] | 王银辉. SDS与AEO3复配对褐煤润湿性的影响分子动力学模拟研究[J]. 煤矿安全, 2024, 55(9): 78-84. |
| WANG Yinhui. Molecular dynamics simulation study on the effect of SDS and AEO3 complex on the wettability of lignite[J]. Safety in Coal Mines, 2024, 55(9): 78-84. | |
| [21] | JIANG Hehe, NI Guanhua, ZHU Chuanjie, et al. Molecular dynamics simulations and experimental characterization of the effect of different concentrations of [Bmim] [Cl] in aqueous solutions on the wettability of anthracite[J]. Fuel, 2022, 324: 124618. |
| [22] | 秦荣荣, 张超, 江丙友, 等. 煤层新型润湿剂的实验合成及性能分析[J]. 西安科技大学学报, 2022, 42(6): 1114-1121. |
| QIN Rongrong, ZHANG Chao, JIANG Bingyou, et al. Experimental synthesis and performance analysis of new wetting agent based on coal seam[J]. Journal of Xi’an University of Science and Technology, 2022, 42(6): 1114-1121. | |
| [23] | WANG Shiju, SHI Shulei, JIANG Bingyou, et al. Influence of surfactant adsorption on coal oxidation and wettability: Experimental discussion and model development[J]. Energy, 2024, 297: 131304. |
| [24] | SUN Jian, ZHOU Gang, WANG Cunmin, et al. Experimental synthesis and performance comparison analysis of high-efficiency wetting enhancers for coal seam water injection[J]. Process Safety and Environmental Protection, 2021, 147: 320-333. |
| [25] | 郑云婷. 低阶煤的傅里叶红外光谱实验分析[J]. 煤化工, 2023, 51(5): 66-70. |
| ZHENG Yunting. Experimental analysis of Fourier transform infrared spectroscopy of low rank coal[J]. Coal Chemical Industry, 2023, 51(5): 66-70. | |
| [26] | DWIVEDI Ankur, DWIVEDI Arpita, KUMAR Amrendra. Qualitative surface characterization of Indian Permian coal using XPS and FTIR[J]. International Journal of Coal Preparation and Utilization, 2023, 43(7): 1152-1163. |
| [27] | CHEN Cong, TANG Yuegang, GUO Xin. Comparison of structural characteristics of high-organic-sulfur and low-organic-sulfur coal of various ranks based on FTIR and Raman spectroscopy[J]. Fuel, 2022, 310: 122362. |
| [28] | 李元吉, 代诚欣, 孟上九, 等. 13C NMR、FT-IR、Raman和建模技术对烟煤和无烟煤分子结构的应用研究[J]. 太原理工大学学报, 2024, 55(6): 1063-1072. |
| LI Yuanji, DAI Chengxin, MENG Shangjiu, of Application 13 C NMR,FT-IR,Raman and modelling techniques to the molecular structure of bituminous and anthracite[J]. Journal of Taiyuan University of Technology, 2024, 55(6): 1063-1072. | |
| [29] | NOGUEIRA Raquel, Michael LÄMMERHOFER, LINDNER Wolfgang. Alternative high-performance liquid chromatographic peptide separation and purification concept using a new mixed-mode reversed-phase/weak anion-exchange type stationary phase[J]. Journal of Chromatography A, 2005, 1089(1/2): 158-169. |
| [30] | JI Ben, JIANG Bingyou, YUAN Liang, et al. Effect of side chain functional groups of ionic liquids on improving wettability of coal: Simulation and experimental discussion[J]. Energy, 2023, 285: 129453. |
| [31] | MENG Junqing, WANG Lijuan, Chunhui LYU, et al. Molecular simulation of the regulation mechanism of the hydrophilic structure of surfactant on the wettability of bituminous coal surface[J]. Journal of Molecular Liquids, 2023, 383: 122185. |
| [32] | 吕冬梅, 吴慧君, 陈健朋, 等. 分子动力学模拟在分散剂/表面活性剂在煤颗粒表面吸附机理方面的研究进展[J]. 燃料化学学报(中英文), 2024, 52(3): 452-460. |
| Dongmei LYU, WU Huijun, CHEN Jianpeng, et al. Research progress of molecular dynamics simulation on adsorption mechanisms of dispersants/surfactants on the surface of coal particles[J]. Journal of Fuel Chemistry and Technology, 2024, 52(3): 452-460. | |
| [33] | 寇德瑞. 表面活性剂的苯环结构对煤尘润湿性的影响机制[J]. 矿业研究与开发, 2024, 44(9): 143-150. |
| KOU Derui. Influence mechanisms of the benzene ring structure of surfactant on the wettability of coal dust[J]. Mining Research and Development, 2024, 44(9): 143-150. | |
| [34] | ZHOU Gang, XING Mengyao, WANG Kaili, et al. Study on wetting behavior between CTAC and BS-12 with gas coal based on molecular dynamics simulation[J]. Journal of Molecular Liquids, 2022, 357: 118996. |
| [1] | YANG Xin, MAN Shide, HE Jiangtao, KONG Deze, ZHANG Tingting, WEI Bigui. Coalescence for oil removal based on the coupling of hydrophilic and hydrophobic interface [J]. Chemical Industry and Engineering Progress, 2025, 44(9): 5120-5129. |
| [2] | QI Yan, CHANG Hao, ZHANG Lei. Structural product formulation design method based on molecular dynamics simulation [J]. Chemical Industry and Engineering Progress, 2025, 44(8): 4341-4351. |
| [3] | LI Yanping, YANG Tao, WANG Hongxun, ZHANG Cheng, WEN Guosheng, HAN Zhicheng, LAN Gongjia, YAN Dazhou. Reaction molecular dynamics simulation of the thermal decomposition and reduction system of trichlorosilane in a hydrogen atmosphere [J]. Chemical Industry and Engineering Progress, 2025, 44(8): 4322-4330. |
| [4] | CAO Shuang, LIU He, GUO Jiaju, HU Chunxia, YANG Wolong, WU Xuehong. R245fa flow boiling heat transfer characteristics in enhanced tube with gradient porous coating [J]. Chemical Industry and Engineering Progress, 2025, 44(7): 3794-3803. |
| [5] | FU Yuanfeng, FAN Zhenzhong, ZANG Xin, TONG Qilei, LIU Jingang. Preparation of superhydrophilic underwater superoleophobic composite SSM and its application in oil-water separation [J]. Chemical Industry and Engineering Progress, 2025, 44(6): 3659-3670. |
| [6] | DAI Yueming, ZHOU Meifang, SHEN Jianhua, JIANG Haibo, LI Chunzhong. Molecular dynamics simulation of sintering mechanism of TiO2 nanoparticles [J]. Chemical Industry and Engineering Progress, 2025, 44(4): 2202-2214. |
| [7] | FENG Peng, XU Donghai, HE Bing, LIU Huanteng, YANG Lijie, WANG Pan, LIU Qingshan. Dissolution characteristics and mechanisms of typical sulphates Na2SO4 and K2SO4 in sub-/supercritical water [J]. Chemical Industry and Engineering Progress, 2025, 44(3): 1706-1715. |
| [8] | BAI Yiran, ZHAI Yuling, DAI Jinghui, LI Zhouhang. Mechanisms of bubble nucleation and heat transfer enhancement in micro/nano-scale pooling boiling [J]. Chemical Industry and Engineering Progress, 2025, 44(2): 743-751. |
| [9] | ZHAO Ke, ZHANG Heng, ZHAI Qian, ZHEN Qi, SU Tianyang, CUI Jingqiang. Designing of composite structure and liquid transmission behavior of the polylactic acid/polyethylene glycol @ sodium dodecyl sulfate microfibrous water evaporator [J]. Chemical Industry and Engineering Progress, 2025, 44(2): 1014-1024. |
| [10] | ZHANG Yuhan, ZHAO Xuesong, WU Xiulin, ZHANG Ting, YANG Longfeng. Preparation and molecular dynamics simulation of nano kaolin/epoxy resin composites [J]. Chemical Industry and Engineering Progress, 2025, 44(11): 6477-6487. |
| [11] | LIU Dapeng, ZHENG Junzhi, ZHOU Xueliang, ZHANG Ganwei, SHEN Shusu, HONG Yaoliang. Research progress of antifouling properties for special wettable porous membranes in membrane distillation [J]. Chemical Industry and Engineering Progress, 2024, 43(12): 6769-6779. |
| [12] | ZHANG Chao, SUN Jinsheng, LYU Kaihe, HUANG Xianbin, DAI Jiajun, LI Mao, YAO Rugang. Research progress and prospects of hydrophobic materials in oilfield chemistry [J]. Chemical Industry and Engineering Progress, 2024, 43(11): 6293-6309. |
| [13] | PEI Wenyi, CHEN Ziyang, ZHAO Meng, JIANG Hong, CHEN Rizhi. Effect of pre-wetting on preparation and gas distribution performance of Janus ceramic membrane [J]. Chemical Industry and Engineering Progress, 2024, 43(1): 353-363. |
| [14] | YIN Xinyu, PI Pihui, WEN Xiufang, QIAN Yu. Application of special wettability materials for anti-hydrate-nucleation and anti-hydrate-adhesion in oil and gas pipelines [J]. Chemical Industry and Engineering Progress, 2023, 42(8): 4076-4092. |
| [15] | ZHAO Yi, YANG Zhen, WANG Jia, LI Jingwen, ZHENG Yu. Research progress on molecular dynamics simulation of self-healing behavior of asphalt binder [J]. Chemical Industry and Engineering Progress, 2023, 42(2): 803-813. |
| Viewed | ||||||
|
Full text |
|
|||||
|
Abstract |
|
|||||
|
京ICP备12046843号-2;京公网安备 11010102001994号 Copyright © Chemical Industry and Engineering Progress, All Rights Reserved. E-mail: hgjz@cip.com.cn Powered by Beijing Magtech Co. Ltd |