Chemical Industry and Engineering Progress ›› 2025, Vol. 44 ›› Issue (12): 7260-7269.DOI: 10.16085/j.issn.1000-6613.2024-1972
• Resources and environmental engineering • Previous Articles
WANG Chaoqian1,2(
), DUAN Xinying3, ZHU Hai1, ZHAO Yuetong1, SUN Kangning1, WANG Wenlong2, ZHANG Xinyan2(
), MA Tingting1, YU Hailong1, ZOU Qunfeng1
Received:2024-12-02
Revised:2025-02-11
Online:2026-01-06
Published:2025-12-25
Contact:
ZHANG Xinyan
王超前1,2(
), 段欣滢3, 朱海1, 赵悦彤1, 孙康宁1, 王文龙2, 张新雁2(
), 马婷婷1, 于海龙1, 邹群峰1
通讯作者:
张新雁
作者简介:王超前(1988—),女,讲师,硕士生导师,研究方向为固废处置与资源化利用技术。E-mail:wcqz19891014@163.com。
基金资助:CLC Number:
WANG Chaoqian, DUAN Xinying, ZHU Hai, ZHAO Yuetong, SUN Kangning, WANG Wenlong, ZHANG Xinyan, MA Tingting, YU Hailong, ZOU Qunfeng. Influence of microwave synergistic pyrolysis conditions on the deicing performance of biochar[J]. Chemical Industry and Engineering Progress, 2025, 44(12): 7260-7269.
王超前, 段欣滢, 朱海, 赵悦彤, 孙康宁, 王文龙, 张新雁, 马婷婷, 于海龙, 邹群峰. 微波协同热解条件对生物炭除冰性能的影响[J]. 化工进展, 2025, 44(12): 7260-7269.
Add to citation manager EndNote|Ris|BibTeX
URL: https://hgjz.cip.com.cn/EN/10.16085/j.issn.1000-6613.2024-1972
| 样品 | 花生秸秆颗粒 |
|---|---|
工业分析(干燥基)/% 灰分 | 13.85 |
| 挥发分 | 70.19 |
| 固定碳 | 15.96 |
元素分析(干燥无灰基)/% C | 47.91 |
| H | 7.05 |
| N | 2.29 |
| S | 0.08 |
| O | 42.68 |
| 样品 | 花生秸秆颗粒 |
|---|---|
工业分析(干燥基)/% 灰分 | 13.85 |
| 挥发分 | 70.19 |
| 固定碳 | 15.96 |
元素分析(干燥无灰基)/% C | 47.91 |
| H | 7.05 |
| N | 2.29 |
| S | 0.08 |
| O | 42.68 |
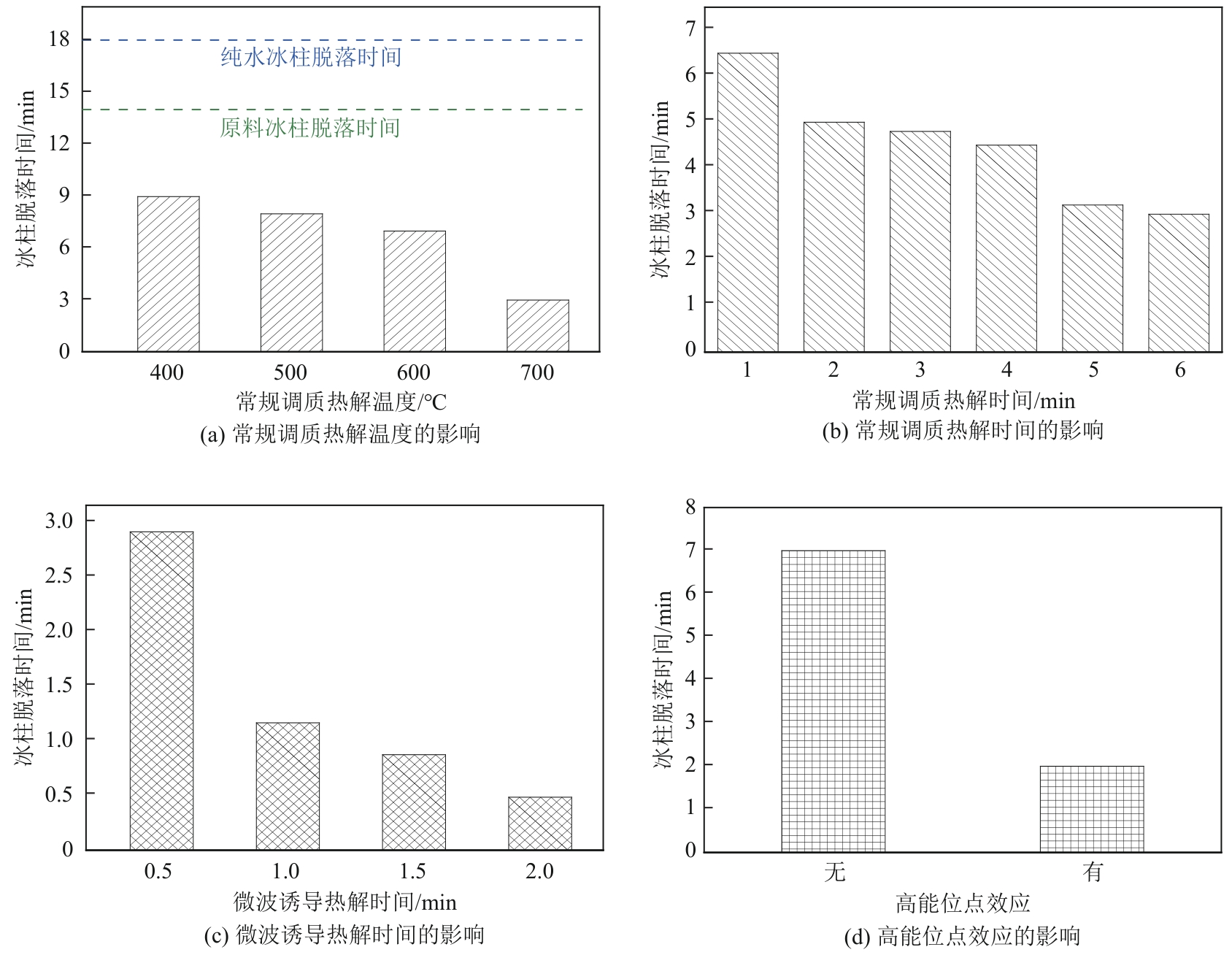
| 水平 | 常规调质热解温度(A)/℃ | 常规调质热解时间(B)/min | 微波协同热解时间(C)/min |
|---|---|---|---|
| 1 | 400 | 1 | 0.5 |
| 2 | 500 | 2 | 1 |
| 3 | 600 | 4 | 1.5 |
| 4 | 700 | 6 | 2 |
| 水平 | 常规调质热解温度(A)/℃ | 常规调质热解时间(B)/min | 微波协同热解时间(C)/min |
|---|---|---|---|
| 1 | 400 | 1 | 0.5 |
| 2 | 500 | 2 | 1 |
| 3 | 600 | 4 | 1.5 |
| 4 | 700 | 6 | 2 |
| 编号 | 常规调质热解温度(A)/℃ | 常规调质热解时间(B)/min | 微波协同热解时间(C)/min | 冰柱脱离容器的时间(Sice-off)/min |
|---|---|---|---|---|
| 1 | 1 | 1 | 1 | 12 |
| 2 | 1 | 2 | 2 | 12 |
| 3 | 1 | 3 | 3 | 11 |
| 4 | 1 | 4 | 4 | 9 |
| 5 | 2 | 1 | 2 | 10 |
| 6 | 2 | 2 | 1 | 10 |
| 7 | 2 | 3 | 4 | 8 |
| 8 | 2 | 4 | 3 | 8 |
| 9 | 3 | 1 | 3 | 8.5 |
| 10 | 3 | 2 | 4 | 8 |
| 11 | 3 | 3 | 1 | 7 |
| 12 | 3 | 4 | 2 | 7 |
| 13 | 4 | 1 | 4 | 6.5 |
| 14 | 4 | 2 | 3 | 5 |
| 15 | 4 | 3 | 2 | 4.5 |
| 16 | 4 | 4 | 1 | 3 |
| 指标数值之和K1 | 44 | 37 | 32 | |
| 指标数值之和K2 | 36 | 35 | 33.5 | |
| 指标数值之和K3 | 30.5 | 30.5 | 32.5 | |
| 指标数值之和K4 | 19 | 27 | 31.5 | |
| 指标平均值 | 11 | 9.25 | 8 | |
| 指标平均值 | 9 | 8.75 | 8.38 | |
| 指标平均值 | 7.63 | 7.63 | 8.13 | |
| 指标平均值 | 4.75 | 6.75 | 7.88 | |
最大与最小指标 平均值之差R | 6.25 | 2.5 | 0.5 |
| 编号 | 常规调质热解温度(A)/℃ | 常规调质热解时间(B)/min | 微波协同热解时间(C)/min | 冰柱脱离容器的时间(Sice-off)/min |
|---|---|---|---|---|
| 1 | 1 | 1 | 1 | 12 |
| 2 | 1 | 2 | 2 | 12 |
| 3 | 1 | 3 | 3 | 11 |
| 4 | 1 | 4 | 4 | 9 |
| 5 | 2 | 1 | 2 | 10 |
| 6 | 2 | 2 | 1 | 10 |
| 7 | 2 | 3 | 4 | 8 |
| 8 | 2 | 4 | 3 | 8 |
| 9 | 3 | 1 | 3 | 8.5 |
| 10 | 3 | 2 | 4 | 8 |
| 11 | 3 | 3 | 1 | 7 |
| 12 | 3 | 4 | 2 | 7 |
| 13 | 4 | 1 | 4 | 6.5 |
| 14 | 4 | 2 | 3 | 5 |
| 15 | 4 | 3 | 2 | 4.5 |
| 16 | 4 | 4 | 1 | 3 |
| 指标数值之和K1 | 44 | 37 | 32 | |
| 指标数值之和K2 | 36 | 35 | 33.5 | |
| 指标数值之和K3 | 30.5 | 30.5 | 32.5 | |
| 指标数值之和K4 | 19 | 27 | 31.5 | |
| 指标平均值 | 11 | 9.25 | 8 | |
| 指标平均值 | 9 | 8.75 | 8.38 | |
| 指标平均值 | 7.63 | 7.63 | 8.13 | |
| 指标平均值 | 4.75 | 6.75 | 7.88 | |
最大与最小指标 平均值之差R | 6.25 | 2.5 | 0.5 |
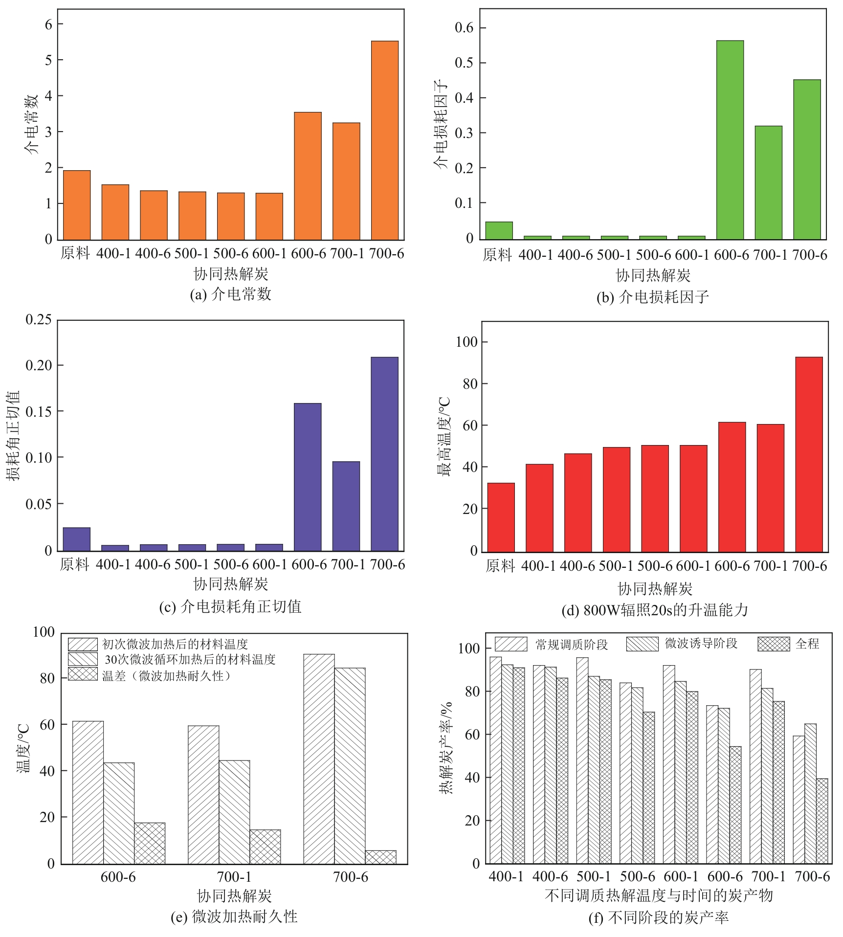
| 温度/℃ | 比表面积/m2·g-1 | 平均孔径/nm | 总孔容/cm3·g-1 |
|---|---|---|---|
| 400 | 51.2 | 2.9 | 0.029 |
| 500 | 72.4 | 3.4 | 0.037 |
| 600 | 121.6 | 3.7 | 0.046 |
| 700 | 169.2 | 3.6 | 0.096 |
| 温度/℃ | 比表面积/m2·g-1 | 平均孔径/nm | 总孔容/cm3·g-1 |
|---|---|---|---|
| 400 | 51.2 | 2.9 | 0.029 |
| 500 | 72.4 | 3.4 | 0.037 |
| 600 | 121.6 | 3.7 | 0.046 |
| 700 | 169.2 | 3.6 | 0.096 |
| [1] | 高丽, 陈静, 郑嘉雯, 等. 极端天气的数值模式集合预报研究进展[J]. 地球科学进展, 2019, 34(7): 706-716. |
| GAO Li, CHEN Jing, ZHENG Jiawen,et al. Progress in researches on ensemble forecasting of extreme weather based on numerical models[J]. Advances in Earth Science, 2019, 34(7): 706-716. | |
| [2] | 宗海锋, 布和朝鲁, 彭京备, 等. 中国南方大范围持续性低温、雨雪和冰冻组合性灾害事件:客观识别方法及关键特征[J]. 大气科学, 2022, 46(5): 1055-1070. |
| ZONG Haifeng, BUEH Cholaw, PENG Jingbei, et al. Combined disaster events of extensive and persistent low temperatures, rain/snow, and freezing in Southern China: Objective identification and key features[J]. Chinese Journal of Atmospheric Sciences, 2022, 46(5): 1055-1070. | |
| [3] | 张芳华, 许先煌, 权婉晴, 等. 2024年春运期两次极端雨雪冰冻天气过程对比分析[J]. 暴雨灾害, 2024, 43(4):371-383. |
| ZHANG Fanghua, XU Xianhuang, QUAN Wanqing, et al. Comparison of two extreme rainfall/snowfall and freezing weather events during the Spring Festival transportation period in 2024[J]. Torrential Rain and Disasters, 2024, 43(4): 371-383. | |
| [4] | 郭猛, 蔡晓晓, 王京京, 等. 道路融雪除冰技术生命周期内环境负荷分析[J]. 中国公路学报, 2024, 37(9): 186-196. |
| GUO Meng, CAI Xiaoxiao, WANG Jingjing, et al. Analysis of environmental load during the life cycle of road snow melting and deicing technology[J]. China Journal of Highway and Transport, 2024, 37(9): 186-196. | |
| [5] | 谭忆秋, 张驰, 徐慧宁, 等. 主动除冰雪路面融雪化冰特性及路用性能研究综述[J]. 中国公路学报, 2019, 32(4): 1-17. |
| TAN Yiqiu, ZHANG Chi, XU Huining, et al. Snow melting and deicing characteristics and pavement performance of active deicing and snow melting pavement[J]. China Journal of Highway and Transport, 2019, 32(4): 1-17. | |
| [6] | TERRY Leigh G, CONAWAY Katharine, REBAR Joyce, et al. Alternative deicers for winter road maintenance—A review[J]. Water, Air, & Soil Pollution, 2020, 231(8): 394. |
| [7] | LIU Xiaoming, ZHAO Yu, LIU Weizheng, et al. Microwave heating and deicing efficiency for asphalt concrete with SiC-Fe3O4 microwave enhanced functional layer[J]. Journal of Cleaner Production, 2022, 332: 130111. |
| [8] | 关明慧, 徐宇工, 卢太金, 等. 微波加热技术在清除道路积冰中的应用[J]. 北方交通大学学报, 2003, 27(4): 79-83. |
| GUAN Minghui, XU Yugong, LU Taijin, et al. Application of microwave heating on removing ice on streets[J]. Journal of Northern Jiaotong University, 2003, 27(4): 79-83. | |
| [9] | 高杰, 张正伟, 韩振强, 等. 电磁波吸收材料用于微波融冰雪路面的研究进展[J]. 材料导报, 2016, 30(23): 87-95. |
| GAO Jie, ZHANG Zhengwei, HAN Zhenqiang, et al. A review of electromagnetic wave absorbing materials used in microwave deicing pavement[J]. Materials Review, 2016, 30(23): 87-95. | |
| [10] | 赵静, 王选仓, 辛磊, 等. 用于微波除冰的吸波骨料选择及路面吸波功能层设计[J]. 材料导报, 2024, 38(12): 86-93. |
| ZHAO Jing, WANG Xuancang, XIN Lei, et al. Optimization of absorbing aggregates for microwave deicing and design of concrete pavement absorbing functional layer[J]. Materials Reports, 2024, 38(12): 86-93. | |
| [11] | LIU Junliang, XU Jinyu, LU Song, et al. Investigation on dielectric properties and microwave heating efficiencies of various concrete pavements during microwave deicing[J]. Construction and Building Materials, 2019, 225: 55-66. |
| [12] | AMALINA Farah, RAZAK Abdul Syukor ABD, ZULARISAM A W, et al. Comprehensive assessment of biochar integration in agricultural soil conditioning: Advantages, drawbacks, and future prospects[J]. Physics and Chemistry of the Earth, Parts A/B/C, 2023, 132: 103508. |
| [13] | RAVINDIRAN Gokulan, RAJAMANICKAM Sivarethinamohan, JANARDHAN Gorti, et al. Production and modifications of biochar to engineered materials and its application for environmental sustainability: A review[J]. Biochar, 2024, 6(1): 62. |
| [14] | WANG Kaiming, GONG Xin, YE Xinyu, et al. Dielectric gene engineering on biochar for ultrawide-band microwave absorption with a rational double-layer design[J]. Carbon, 2024, 228: 119326. |
| [15] | FAN Xing, LI Boyu, ZI Wenhua, et al. Microwave dielectric characterization and loss mechanism of biowaste during pyrolysis[J]. Energy Conversion and Management, 2024, 301: 118075. |
| [16] | ADHIKARI Sirjana, MOON Ellen, Jorge PAZ-FERREIRO, et al. Comparative analysis of biochar carbon stability methods and implications for carbon credits[J]. Science of the Total Environment, 2024, 914: 169607. |
| [17] | MALJAEE Hamid, MADADI Rozita, PAIVA Helena, et al. Incorporation of biochar in cementitious materials: A roadmap of biochar selection[J]. Construction and Building Materials, 2021, 283: 122757. |
| [18] | LIN Junhao, SUN Shichang, XU Donghua, et al. Microwave directional pyrolysis and heat transfer mechanisms based on multiphysics field stimulation: Design porous biochar structure via controlling hotspots formation[J]. Chemical Engineering Journal, 2022, 429: 132195. |
| [19] | 方琳. 微波能作用下污泥脱水和高温热解的效能与机制[D]. 哈尔滨: 哈尔滨工业大学, 2007. |
| FANG Lin. Efficiency and mechanism of sewage sludge dewatering and pyrolysis under treatment of microwave energy[D]. Harbin: Harbin Institute of Technology, 2007. | |
| [20] | WANG Wenlong, WANG Biao, SUN Jing, et al. Numerical simulation of hot-spot effects in microwave heating due to the existence of strong microwave-absorbing media[J]. RSC Advances, 2016, 6(58): 52974-52981. |
| [21] | 王超前, 王文龙, 李哲, 等. 基于微波诱导定向加热的污泥新型热解方法能耗分析[J]. 化工学报, 2019, 70(S1): 168-176. |
| WANG Chaoqian, WANG Wenlong, LI Zhe, et al. Energy consumption analysis of novel pyrolysis method of sewage sludge based on microwave-induced target-oriented heating[J]. CIESC Journal, 2019, 70(S1): 168-176. | |
| [22] | WANG Chaoqian, WANG Wenlong, LIN Leteng, et al. A stepwise microwave synergistic pyrolysis approach to produce sludge-based biochars: Feasibility study simulated by laboratory experiments[J]. Fuel, 2020, 272: 117628. |
| [23] | LI Sheng, ZHANG Yimin, YUAN Yizhong, et al. Enhancing vanadium extraction from shale by microwave irradiation for VBS grindability improvement: Hot spots and thermal stress[J]. Chemical Engineering and Processing-Process Intensification, 2023, 193: 109568. |
| [24] | CHAIX Jean-Marc, BOUCHET Renaud, BOUVARD Didier, et al. A viewpoint on hot spots in microwave sintering and flash sintering[J]. Advanced Engineering Materials, 2023, 25(18): 2201742. |
| [25] | ANTUNES Elsa, JACOB Mohan V, BRODIE Graham, et al. Microwave pyrolysis of sewage biosolids: Dielectric properties, microwave susceptor role and its impact on biochar properties[J]. Journal of Analytical and Applied Pyrolysis, 2018, 129: 93-100. |
| [26] | ZHOU Ruolan, TIAN Xiaojie, WANG Xiaofei, et al. Microwave pyrolysis of Choerospondias axillaris seeds with their derived biochar for comprehensive utilization of the biomass[J]. Chemical Engineering Journal, 2024, 501: 157727. |
| [27] | SALEMA Arshad Adam, Farid Nasir ANI, MOURIS Joe, et al. Microwave dielectric properties of Malaysian palm oil and agricultural industrial biomass and biochar during pyrolysis process[J]. Fuel Processing Technology, 2017, 166: 164-173. |
| [28] | 黄彪, 陈学榕, 江茂生, 等. 不同炭化条件下炭化物的结构与性能表征[J]. 光谱学与光谱分析, 2006, 26(3): 455-459. |
| HUANG Biao, CHEN Xuerong, JIANG Maosheng, et al. Structural and property characteristics of Chinese fir wood charcoal prepared under various conditions[J]. Spectroscopy and Spectral Analysis, 2006, 26(3): 455-459. | |
| [29] | ZHANG Zhikun, ZHU Zongyuan, SHEN Boxiong, et al. Insights into biochar and hydrochar production and applications: A review[J]. Energy, 2019, 171: 581-598. |
| [30] | GERDROODBAR Amirhossein Enayati, KARIMKHANI Vahid, DASHTIMOGHADAM Erfan, et al. Vitrimerization as a bridge of chemical and mechanical recycling[J]. Journal of Environmental Chemical Engineering, 2024, 12(3): 112897. |
| [31] | 杨彪, 曾德明, 倪瑞璞, 等. 基于新型广义离散趋近律的微波加热温度控制[J]. 控制工程, 2023, 30(7): 1259-1266. |
| YANG Biao, ZENG Deming, NI Ruipu, et al. Temperature control of microwave heating based on new generalized discrete reaching law[J]. Control Engineering of China, 2023, 30(7): 1259-1266. | |
| [32] | LI Kangqiang, CHEN Jin, CHEN Guo, et al. Microwave dielectric properties and thermochemical characteristics of the mixtures of walnut shell and manganese ore[J]. Bioresource Technology, 2019, 286: 121381. |
| [33] | 何春林. 典型冶金原辅料的微波吸收特性及其应用研究[D]. 南宁: 广西大学, 2016. |
| HE Chunlin. Study on microwave absorption characteristics of typical metallurgical raw material and its application[D]. Nanning: Guangxi University, 2016. | |
| [34] | GENG Haibin, WANG Huijuan, LI Xiaoke, et al. An orthogonal test study on the preparation of self-compacting underwater non-dispersible concrete[J]. Materials, 2023, 16(19): 6599. |
| [35] | JIA Yufan, ZHU Xianglong, YANG Lei, et al. Modeling and experimental study on material removal rate of quartz wafer by fixed abrasive lapping[J]. Optics and Precision Engineering, 2023, 31(16): 2362-2371. |
| [36] | ALLENDE Scarlett, BRODIE Graham, JACOB Mohan V. Breakdown of biomass for energy applications using microwave pyrolysis: A technological review[J]. Environmental Research, 2023, 226: 115619. |
| [37] | DAMEZ Romain, ARTILLAN Philippe, HELLOUIN DE MENIBUS Arthur, et al. Effect of water content on microwave dielectric properties of building materials[J]. Construction and Building Materials, 2020, 263: 120107. |
| [38] | WANG Hao, KANG Haitao, WANG Zhen, et al. Waste leaves into biomass carbon materials with tunable oxygen-containing functional groups for microwave absorption[J]. Carbon, 2025, 234: 119930. |
| [1] | LI Junliang, LI Yue, SUN Daolai. Hydrodeoxygenation of 1,2-butanediol to 1-butanol over Cu/SiO2-Al2O3 catalyst [J]. Chemical Industry and Engineering Progress, 2025, 44(S1): 222-231. |
| [2] | LI Ruiying, ZHOU Ying, ZHOU Hongjun, XU Chunming. Biomass-derived nano-carbon-based materials: Opportunities and challenges in electrochemical applications [J]. Chemical Industry and Engineering Progress, 2025, 44(S1): 288-306. |
| [3] | HONG Kang, ZHANG Chong, MA Hongli, SUN Yongrong, JIANG Liqun, BAO Guirong. Research progress of biomass hard charcoal as an anode material for sodium-ion batteries [J]. Chemical Industry and Engineering Progress, 2025, 44(S1): 340-349. |
| [4] | JIANG Chunxi, LIN Dingbiao, BIAN Yao, ZHOU Wei, LU Haifeng, GUO Xiaolei, LIU Haifeng. Characteristics of rice husk as entrained-flow bed gasification feedstock and their impact on the process [J]. Chemical Industry and Engineering Progress, 2025, 44(9): 4937-4944. |
| [5] | ZHANG Wenjing, HUANG Zhixin, LI Shiteng, DENG Shuai, LI Shuangjun. Biomass carbon aerogels for CO2 adsorbents [J]. Chemical Industry and Engineering Progress, 2025, 44(9): 5018-5032. |
| [6] | WANG Lanxin, LI Fei, QIAN Yanan, TIAN Yujie, SHEN Jun, WANG Wei. Numerical simulation of coal pyrolysis with different moisture content in fixed-bed reactor [J]. Chemical Industry and Engineering Progress, 2025, 44(8): 4513-4525. |
| [7] | MI Yifang, WANG Baoguo, WANG Wenqiang, SUN Guojin, CAO Zhihai. Preparation of nitrogen self-doped cyanobacterial biomass-based activated carbon for CO2 adsorption [J]. Chemical Industry and Engineering Progress, 2025, 44(7): 4223-4232. |
| [8] | ZHOU Ying, BAI Baohua, PU Tian, ZHOU Enze, HU Jianqing, ZHANG Songlin, ZHOU Hongjun, XU Chunming. Construction and demonstration of net-zero industrial parks [J]. Chemical Industry and Engineering Progress, 2025, 44(7): 4282-4286. |
| [9] | ZHANG Jian, LIN Rihui, YIN Jianglin, LI Yanzi, FU Yulu, LIU Xiaoxia. Dry pretreatment of sugarcane trash and preparation and characterization of its acetylated products [J]. Chemical Industry and Engineering Progress, 2025, 44(7): 3997-4005. |
| [10] | WU Yali, ZHANG Xiaolin, GAO Limin, HUANG Maocai, CAI Bin, ZHANG Jibing. Technical progress in resource utilization of straw powder/fiber [J]. Chemical Industry and Engineering Progress, 2025, 44(6): 3509-3523. |
| [11] | ZHANG Chunhua, WANG Guoqing, ZHANG Lijun, LU Bona, ZHOU Cong, LIU Junjie. Twisted-tape-based heat transfer enhancement technology: Advances and challenges in vortex structure regulation [J]. Chemical Industry and Engineering Progress, 2025, 44(6): 3163-3174. |
| [12] | ZHANG Ying, ZHENG Xuemei, MA Aiyuan, TIAN Shihong. Research progress based on conventional and microwave pyrolysis behavior of polyethylene [J]. Chemical Industry and Engineering Progress, 2025, 44(6): 3224-3237. |
| [13] | XU Zhicheng, GAO Ningbo, QUAN Cui, SONG Qingbin. Research progress on synergistic catalytic conversion of biomass gasification tar by non-thermal plasma [J]. Chemical Industry and Engineering Progress, 2025, 44(6): 3432-3442. |
| [14] | REN Pengkun, ZHONG Zhaoping, ZHANG Xiaoni, YANG Yuxuan, RAN Zhenzhen. Preparation of sludge-sawdust-based activated carbon and its adsorption performance for benzene series VOCs [J]. Chemical Industry and Engineering Progress, 2025, 44(6): 3031-3040. |
| [15] | QIAO Jinliang. Feedstock substitution may assist petrochemical industry driving high-quality development in China [J]. Chemical Industry and Engineering Progress, 2025, 44(5): 2803-2805. |
| Viewed | ||||||
|
Full text |
|
|||||
|
Abstract |
|
|||||
|
京ICP备12046843号-2;京公网安备 11010102001994号 Copyright © Chemical Industry and Engineering Progress, All Rights Reserved. E-mail: hgjz@cip.com.cn Powered by Beijing Magtech Co. Ltd |