Chemical Industry and Engineering Progress ›› 2025, Vol. 44 ›› Issue (12): 7086-7094.DOI: 10.16085/j.issn.1000-6613.2024-1951
• Materials science and technology • Previous Articles
WANG Jin1(
), WANG Junjie1, WANG Yunxin1, YANG Guangxin2, PAN Jiabao1(
)
Received:2024-11-27
Revised:2025-02-22
Online:2026-01-06
Published:2025-12-25
Contact:
PAN Jiabao
王锦1(
), 汪俊杰1, 王韵昕1, 杨广鑫2, 潘家保1(
)
通讯作者:
潘家保
作者简介:王锦(2000—),女,硕士研究生,研究方向为机械润滑。E-mail: wangjin20001107@163.com。
基金资助:CLC Number:
WANG Jin, WANG Junjie, WANG Yunxin, YANG Guangxin, PAN Jiabao. Effect of high-temperature thermal action on the film-forming performance of a lithium grease[J]. Chemical Industry and Engineering Progress, 2025, 44(12): 7086-7094.
王锦, 汪俊杰, 王韵昕, 杨广鑫, 潘家保. 高温热效应对锂基润滑脂成膜性能的影响[J]. 化工进展, 2025, 44(12): 7086-7094.
Add to citation manager EndNote|Ris|BibTeX
URL: https://hgjz.cip.com.cn/EN/10.16085/j.issn.1000-6613.2024-1951
| 基础油 | 稠化剂 | 锥入度/0.1mm | 滴点/℃ | 工作锥入度/0.1mm | 最高实验、极限使用温度/℃ |
|---|---|---|---|---|---|
| 矿物油 | 12-羟基硬脂酸 | 449 | 202 | 403 | 120、150 |
| 基础油 | 稠化剂 | 锥入度/0.1mm | 滴点/℃ | 工作锥入度/0.1mm | 最高实验、极限使用温度/℃ |
|---|---|---|---|---|---|
| 矿物油 | 12-羟基硬脂酸 | 449 | 202 | 403 | 120、150 |
| 参数 | 数值 |
|---|---|
| 卷吸速度/mm·s-1 | 50/300/500 |
| 载荷/N | 3/9/15/21/27/30/45/60/75/90 |
| 参数 | 数值 |
|---|---|
| 卷吸速度/mm·s-1 | 50/300/500 |
| 载荷/N | 3/9/15/21/27/30/45/60/75/90 |
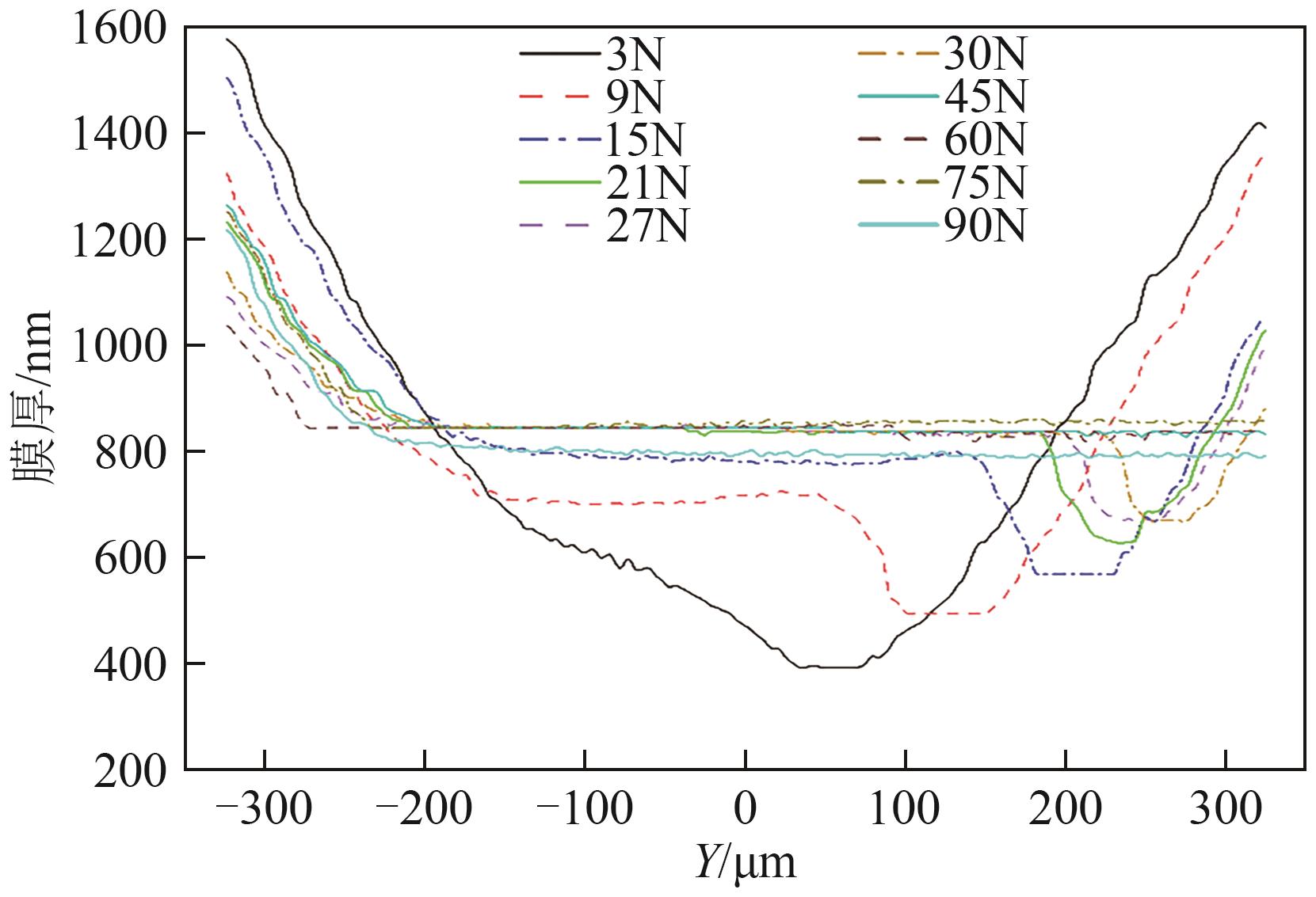
| 载荷/N | 最小膜厚/nm | ||
|---|---|---|---|
| 50mm/s | 300mm/s | 500mm/s | |
| 3 | 77.69 | 214.78 | 395.51 |
| 9 | 111.49 | 416.03 | 505.26 |
| 15 | 114.78 | 350.89 | 553.18 |
| 21 | 113.87 | 473.36 | 655.70 |
| 27 | 107.46 | 449.95 | 750.47 |
| 30 | 121.33 | 443.13 | 745.21 |
| 45 | 112.19 | 493.97 | 746.93 |
| 60 | 110.22 | 425.95 | 832.81 |
| 75 | 111.52 | 419.91 | 834.09 |
| 90 | 123.70 | 419.32 | 838.07 |
| 载荷/N | 最小膜厚/nm | ||
|---|---|---|---|
| 50mm/s | 300mm/s | 500mm/s | |
| 3 | 77.69 | 214.78 | 395.51 |
| 9 | 111.49 | 416.03 | 505.26 |
| 15 | 114.78 | 350.89 | 553.18 |
| 21 | 113.87 | 473.36 | 655.70 |
| 27 | 107.46 | 449.95 | 750.47 |
| 30 | 121.33 | 443.13 | 745.21 |
| 45 | 112.19 | 493.97 | 746.93 |
| 60 | 110.22 | 425.95 | 832.81 |
| 75 | 111.52 | 419.91 | 834.09 |
| 90 | 123.70 | 419.32 | 838.07 |
| [1] | 何垒垒, 苏朔, 龙军. 聚α-烯烃合成基础油分子结构与性能关系研究进展[J]. 石油学报(石油加工), 2024, 40(1): 266-276. |
| HE Leilei, SU Shuo, LONG Jun. Research progress on the relationship between molecular structure and properties of poly-α-olefins synthetic base oil[J]. Acta Petrolei Sinica (Petroleum Processing Section), 2024, 40(1): 266-276. | |
| [2] | 楼高波, 刘丽娜, 傅深渊, 等. 润滑脂生物基稠化剂的研究进展[J]. 摩擦学学报, 2024, 44(8): 1151-1172. |
| LOU Gaobo, LIU Lina, FU Shenyuan, et al. Research progress in bio-based thickeners for lubricating grease[J]. Tribology, 2024, 44(8): 1151-1172. | |
| [3] | 徐状, 蔡浩鹏, 王哲, 等. 过量稠化剂组分对锂基润滑脂微观结构和性能的影响[J]. 摩擦学学报, 2024, 44(4): 542-550. |
| XU Zhuang, CAI Haopeng, WANG Zhe, et al. Effect of excess thickener components on the microstructure and properties of lithium greases[J]. Tribology, 2024, 44(4): 542-550. | |
| [4] | JIANG Nan, Feng NAN. Applications of phyllosilicates mineral powder as anti-wear lubricating materials in lubricating oil and grease: A review[J]. Lubricants, 2024, 12(9): 324. |
| [5] | 霍丽霞, 贺颖, 苟世宁, 等. 氟化石墨改性PFPE润滑脂极端环境摩擦学性能[J]. 中国表面工程, 2024, 37(5): 138-146. |
| HUO Lixia, HE Ying, GOU Shining, et al. Tribological performance of fluorinated graphite modified PFPE grease in extreme environment[J]. China Surface Engineering, 2024, 37(5): 138-146. | |
| [6] | 刘长鑫. 滚珠丝杠副润滑脂贮存加速退化试验与可靠性评估方法研究[D]. 长春: 吉林大学, 2024. |
| LIU Changxin. Study on storage accelerated degradation test and reliability evaluation method of lubricating grease of ball screw pair[D]. Changchun: Jilin University, 2024. | |
| [7] | 孙一平, 赵启龙, 苏怀刚, 等. 锂基脂静态热氧化老化行为的红外吸收光谱定量分析[J]. 石油学报(石油加工), 2024, 40(2): 560-568. |
| SUN Yiping, ZHAO Qilong, SU Huaigang, et al. Fourier transforme infrared quantitative analysis of static thermal oxidation aging behavior of lithium-based grease[J]. Acta Petrolei Sinica (Petroleum Processing Section), 2024, 40(2): 560-568. | |
| [8] | 赵启龙, 姜程, 苏怀刚, 等. 基于SRV的重载轴承润滑脂摩擦磨损性能模拟评定方法研究[J]. 摩擦学学报, 2024, 44(2): 242-253. |
| ZHAO Qilong, JIANG Cheng, SU Huaigang, et al. Evaluation method of friction and wear performance of heavy load bearing grease using SRV test machine[J]. Tribology, 2024, 44(2): 242-253. | |
| [9] | 薛楷杰, 王雪. 轴承润滑脂氧化失效与滚动磨损的相关性[J]. 合成润滑材料, 2022, 49(4): 15-20. |
| XUE Kaijie, WANG Xue. Correlation between oxidation failure of bearing grease and rolling wear[J]. Synthetic Lubricants, 2022, 49(4): 15-20. | |
| [10] | ROSENKRANZ Laura, RICHTER Silvia, JACOBS Georg, et al. Influence of temperature on wear performance of greases in rolling bearings[J]. Industrial Lubrication and Tribology, 2021, 73(6): 862-871. |
| [11] | 沙光荣, 来冰冰, 赵启龙, 等. 聚脲润滑脂静态热氧老化条件下性能衰退机制研究[J]. 摩擦学学报, 2024, 44(8): 1074-1083. |
| SHA Guangrong, LAI Bingbing, ZHAO Qilong, et al. Performance degradation mechanism of polyurea grease under static thermal-oxidative aging conditions[J]. Tribology, 2024, 44(8): 1074-1083. | |
| [12] | FARFAN-CABRERA Leonardo Israel, GALLARDO-HERNÁNDEZ Ezequiel Alberto, Mario GÓMEZ-GUARNEROS, et al. Alteration of lubricity of Jatropha oil used as bio-lubricant for engines due to thermal ageing[J]. Renewable Energy, 2020, 149: 1197-1204. |
| [13] | SATHWIK Chatra K R, OSARA Jude A, LUGT Piet M. Thermo-mechanical aging during churning in grease lubricated bearings and its impact on grease life[J]. Tribology International, 2023, 181: 108248. |
| [14] | 胡金涛, 张安生, 张恩惠, 等. 高温热效应对复合锂基润滑脂性能影响规律研究[J]. 摩擦学学报, 2021, 41(4): 447-454. |
| HU Jintao, ZHANG Ansheng, ZHANG Enhui, et al. Influence of high temperature thermal effect on the properties of complex lithium grease[J]. Tribology, 2021, 41(4): 447-454. | |
| [15] | PAN Jiabao, CHENG Yanhai, YANG Jinyong. Structural degradation of a lithium lubricating grease after thermal ageing[J]. Journal of Chemical Engineering of Japan, 2016, 49(7): 579-587. |
| [16] | PAN Jiabao, WU Huaibiao, WANG Ao, et al. Effect of high-temperature thermal action on the film-forming properties of a lithium grease[J]. Industrial Lubrication and Tribology, 2022, 74(5): 481-487. |
| [17] | 潘家保, 钱明, 周彬, 等. 连续与间断热作用对复合锂基润滑脂流变特性的影响[J]. 石油学报(石油加工), 2018, 34(3): 552-560. |
| PAN Jiabao, QIAN Ming, ZHOU Bin, et al, Effects of continuous and intermittent heat treatment on rheological behaviors of lithium complex grease[J]. Acta Petrolei Sinica (Petroleum Processing Section), 2018, 34(3): 552-560. | |
| [18] | CEN Hui, LUGT Piet M, Guillermo MORALES-ESPEJEL. On the film thickness of grease-lubricated contacts at low speeds[J]. Tribology Transactions, 2014, 57(4): 668-678. |
| [19] | 刘成龙, 张玉萌, 栗心明, 等. 润滑脂纤维结构对弹流油膜影响的试验研究[J]. 摩擦学学报, 2017, 37(1): 68-74. |
| LIU Chenglong, ZHANG Yumeng, LI Xinming, et al. Experimental study on the effect of grease fibre structure on EHL film[J]. Tribology, 2017, 37(1): 68-74. | |
| [20] | LI Xinming, GUO Feng, POLL Gerhard, et al. Grease film evolution in rolling elastohydrodynamic lubrication contacts[J]. Friction, 2021, 9(1): 179-190. |
| [21] | 韩露娟, 郭峰, 栗心明, 等. 硬脂酸界面修饰对油膜润滑影响的试验研究[J]. 机械工程学报, 2022, 58(9): 182-189. |
| HAN Lujuan, GUO Feng, LI Xinming, et al. Effect of interface modification of stearic acid on oil film lubrication[J]. Journal of Mechanical Engineering, 2022, 58(9): 182-189. | |
| [22] | 樊赛生, 荆兆刚, 郭峰. 球-环接触下油性添加剂对聚α-烯烃油润滑性能的影响[J]. 润滑与密封, 2022, 47(7): 26-32. |
| FAN Saisheng, Zhaogang JlNG, GUO Feng. Effect of oiliness additive on poly-α-olefin lubrication performance under ball-on-ring contact[J]. Lubrication Engineering, 2022, 47(7): 26-32. | |
| [23] | 易双, 葛翔宇, 李津津. 液体超滑技术发展现状及展望[J]. 清华大学学报(自然科学版), 2020, 60(8): 617-629. |
| YI Shuang, GE Xiangyu, LI Jinjin. Development and prospects of liquid superlubricity[J]. Journal of Tsinghua University (Science and Technology), 2020, 60(8): 617-629. | |
| [24] | COURONNE I, VERGNE P. Rheological behavior of greases: Part Ⅱ—Effect of thermal aging, correlation with physico-chemical changes[J]. Tribology Transactions, 2000, 43(4): 788-794. |
| [25] | 刘海超, 郭峰, 赵国垒. 润滑膜厚测量的双色光干涉强度调制方法[J]. 摩擦学学报, 2015, 35(3): 282-287. |
| LIU Haichao, GUO Feng, ZHAO Guolei. A dichromatic interference intensity modulation approach to lubricating film thickness measurement[J]. Tribology, 2015, 35(3): 282-287. | |
| [26] | CANN P M. Starvation and reflow in a grease-lubricated elastohydrodynamic contact[J]. Tribology Transactions, 1996, 39(3): 698-704. |
| [27] | 陈琪, 杨萍, 江楠, 等. 不同滑滚比下润滑油膜流变特性试验观察与数值模拟[J]. 摩擦学学报, 2020, 40(2): 158-165. |
| CHEN Qi, YANG Ping, JIANG Nan, et al. Experimental observation and numerical simulation of rheological properties of lubricating films under different sliding-rolling ratios[J]. Tribology, 2020, 40(2): 158-165. | |
| [28] | PASZKOWSKI Maciej. Assessment of the effect of temperature, shear rate and thickener content on the thixotropy of lithium lubricating greases[J]. Proceedings of the Institution of Mechanical Engineers, Part J: Journal of Engineering Tribology, 2013, 227(3): 209-219. |
| [29] | SÁNCHEZ M C, FRANCO J M, VALENCIA C, et al. Atomic force microscopy and thermos-rheological characterisation of lubricating greases[J]. Tribology Letters, 2011, 41(2): 463-470. |
| [30] | 杨广鑫, 潘家保, 周陆俊, 等. 热磁耦合作用下磁流变脂剪切稳定性及其机理[J]. 化工进展, 2021, 40(8): 4428-4437. |
| YANG Guangxin, PAN Jiabao, ZHOU Lujun, et al. Shear stability and mechanism of magnetorheological grease under thermo-magnetic coupling[J]. Chemical Industry and Engineering Progress, 2021, 40(8): 4428-4437. | |
| [31] | 丁松燕, 刘红柱, 柏莲桂, 等. 羟乙基纤维素溶液的触变性与反触变性[J]. 材料导报, 2013, 27(20): 78-83. |
| DING Songyan, LIU Hongzhu, BAI Liangui, et al. Thixotropy and anti-thixotropy of hydroxyethyl cellulose aqueous solutions [J]. Materials Review, 2013, 27(20): 78-83. |
| [1] | LIU Haijun, TIAN Jingru, WANG Yijie, HOU Jungang, ZHANG Zhenxiong, LI Jing. Characteristics of Changqing wax-containing crude oil and the effects of heat treatment modification [J]. Chemical Industry and Engineering Progress, 2025, 44(S1): 134-143. |
| [2] | NIE Hong, XI Yuanbing, GE Panzhu, DING Shi, ZHANG Dengqian. Sustainable aviation fuel production technology and prospects [J]. Chemical Industry and Engineering Progress, 2025, 44(5): 2529-2534. |
| [3] | PAN Jiabao, LI Yiliang, WANG Jin. Analysis and prediction of the behavior of the thermal effects of magnetorheological grease [J]. Chemical Industry and Engineering Progress, 2025, 44(1): 415-423. |
| [4] | YIN Ran, MU Ye, HUO Fuyong, CAO Qinliang, LIN Ganggui, WANG Yijie, HUANG Qiyu. Influence of crude oil composition and wax crystal structure on the damage and recovery of JH shale oil structure [J]. Chemical Industry and Engineering Progress, 2024, 43(S1): 590-596. |
| [5] | JIANG Jiajun, WU Zhangyong, ZHU Qichen, CAI Changli, ZHU Jiajun, WANG Zhiqiang. Rheological properties and lubricity of In-Bi-Sn based Si3N4/GNFs hybrid nanofluid [J]. Chemical Industry and Engineering Progress, 2023, 42(12): 6197-6206. |
| [6] | LUO Yuanhao, LIN Ling, GUO Yongjun, YANG Yukun, XIONG Guixia, REN Ren, QU Yuanzhi. Progress in the application of nanomaterials in high temperature resistant drilling fluids [J]. Chemical Industry and Engineering Progress, 2022, 41(9): 4895-4906. |
| [7] | YANG Guangxin, PAN Jiabao, ZHOU Lujun, GAO Hong, WANG Xiaolei. Shear stability and mechanism of magnetorheological grease under thermo-magnetic coupling [J]. Chemical Industry and Engineering Progress, 2021, 40(8): 4428-4437. |
| [8] | PAN Jiabao, CHENG Yanhai, QIAN Ming, ZHOU Bin. Thermal-rheological properties and variation mechanisms of lithium lubricating grease [J]. Chemical Industry and Engineering Progress, 2018, 37(04): 1509-1515. |
| [9] | YAN Kele, ZOU Bing, JIANG Suxia, ZHANG Hongxing, SHANG Zuzheng, WANG Qian. Review on flow characteristics and rheological properties of hydrate slurry [J]. Chemical Industry and Engineering Progree, 2015, 34(07): 1817-1825. |
| [10] | SU Leijing,DING Xuejia,LEI Xiaohui,HE Jinying,WANG Linsheng,LI Xiran. Structure and thermal properties of phase change materials based on polyolefin cladded paraffin wax blends [J]. Chemical Industry and Engineering Progree, 2013, 32(04): 853-856. |
| [11] | WANG Wen,CAI Weiquan,LI Yujun,TU Wenhui. Development of road grease cleaning agent with high decontamination efficiency [J]. Chemical Industry and Engineering Progree, 2013, 32(03): 674-677. |
| [12] | JIN Gang,ZHAO Xinliang,LEI Yucai. Measuring rheological properties of polymer with torque-rheometer [J]. Chemical Industry and Engineering Progree, 2011, 30(2): 371-. |
| [13] | ZHANG Yu,DING Xuejia,GUO Tiantian,ZHOU Kebin,HAN Haijun,ZHANG Lijuan. Rheology study on PC/PETG blends [J]. Chemical Industry and Engineering Progree, 2011, 30(12): 2685-. |
| [14] | XIONG Chu’an,WANG Yonggang,XU Deping. Development of rheological properties of Chinese coal-oil slurry and liquefaction residue in direct liquefaction [J]. Chemical Industry and Engineering Progree, 2009, 28(4): 597-. |
| [15] | LIU Lei,SUN Hongwei. Progress of research on polyurea grease [J]. Chemical Industry and Engineering Progree, 2009, 28(1): 51-. |
| Viewed | ||||||
|
Full text |
|
|||||
|
Abstract |
|
|||||
|
京ICP备12046843号-2;京公网安备 11010102001994号 Copyright © Chemical Industry and Engineering Progress, All Rights Reserved. E-mail: hgjz@cip.com.cn Powered by Beijing Magtech Co. Ltd |