烯烃水合反应工艺与催化剂研究进展
韩恒文, 韩伟, 李明丰
Research progress in olefin hydration process and the catalysts
HAN Hengwen, HAN Wei, LI Mingfeng
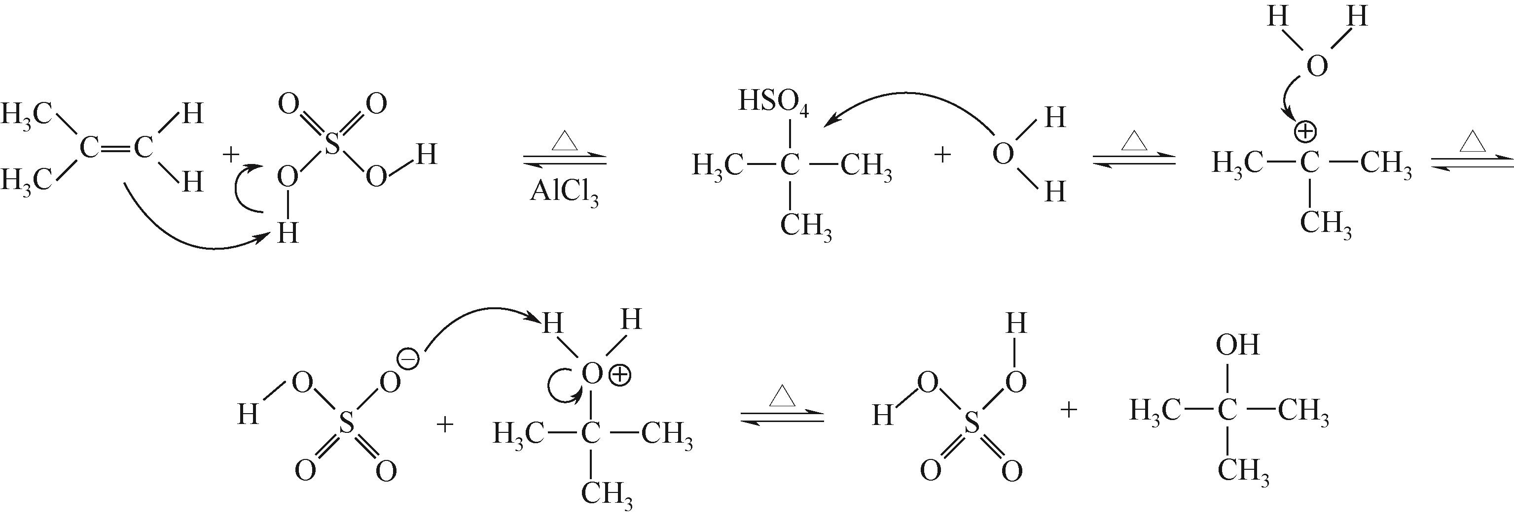
图3
丙烯酯化-水解反应机理
[
3
]