烯烃水合反应工艺与催化剂研究进展
韩恒文, 韩伟, 李明丰
Research progress in olefin hydration process and the catalysts
HAN Hengwen, HAN Wei, LI Mingfeng
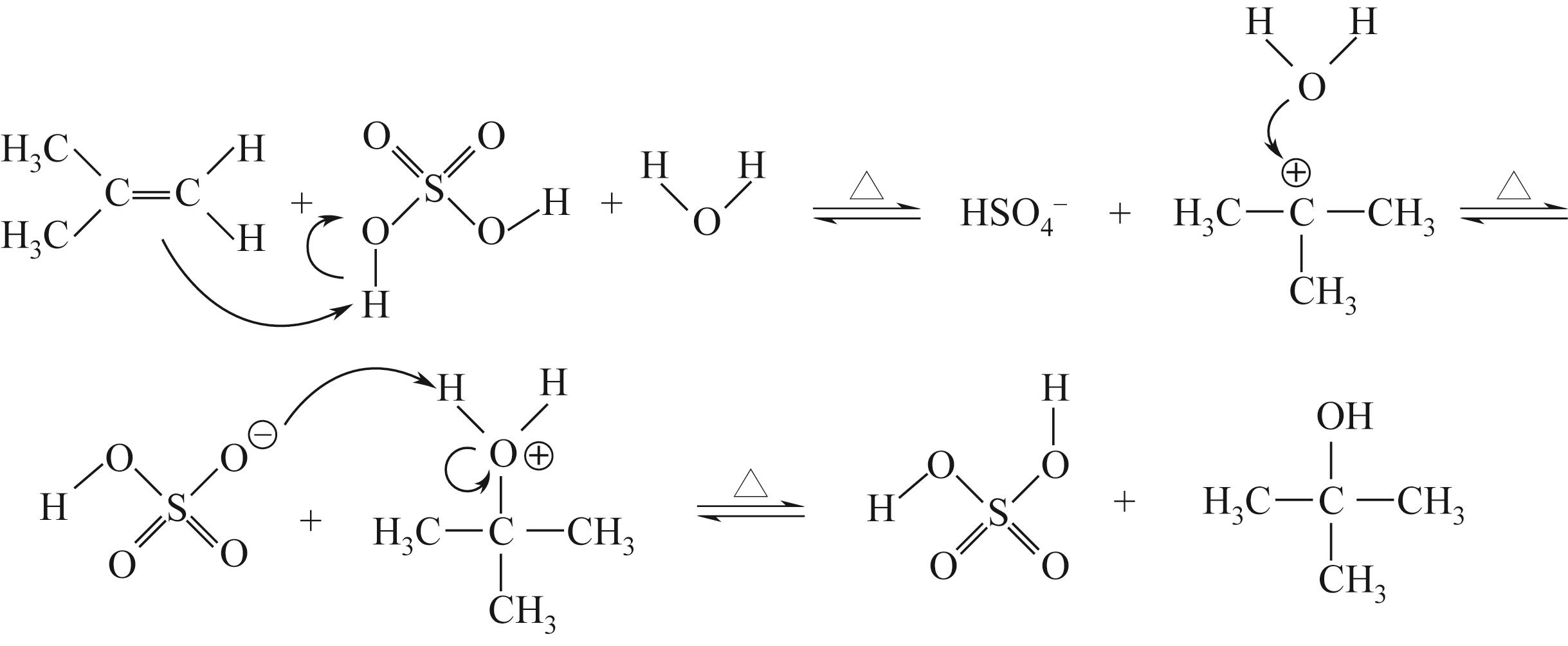
图1
酸催化的烯烃直接水合反应
[
2
]